Share
 
 

Volumetric Finite Elements - Description

Volumetric structures in Robot are modeled using isoparametric volumetric finite elements with displacement field approximation based on the 1st order shape functions.

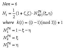
The following element types are available: brick B8, wedge W6, and tetrahedron T4. Shape functions and node numbering related to 3D reference elements are shown in the following table.

Reference Element

Shape Functions

The description of element geometry, evaluation of strains, stresses, stiffness, and mass matrix as well as element force vector for all enumerated element types is performed as follows:

  • Element geometry

    Element geometry is based on isoparametric mapping from a reference element onto an arbitrary element

  • Displacement fields within the element

  • Strain evaluation

     

    Where B matrices are defined as:

    Shape function derivatives in B matrix elements are defined as:

  • Stresses (elastic case)

    Where e o are imposed strains (thermal dilatation and shrinkage) and D is a constitutive matrix. The constitutive matrix D (linear - elastic isotropic material) is shown as follows:

Was this information helpful?