Zulässige Spannung

X: Starke Achse

Y: Schwache Achse

Z: Primärachse

Variable Beschreibung
α Drehungswinkel für Hauptachsen des Winkelabschnitts
A Querschnittsfläche

A f

Bereich Druckflansch.

A s

Scherbereich für Röhrenelement - Rohr

A sx

X-Scherbereich für prismatisches Element

A sy

Y-Scherbereich für prismatisches Element

b

Breite des Elements (b ≤ d)
b 0

Abstand von der neutralen Achse zur Kante des Netzes:

b e

Effektive Breite des Baustahlrohrelements

b f

Breite des Flanschs.

C b

Biegungskoeffizient abhängig von der Momentsteigung (Abschnitt F).

C c

Stützenschlankheitsverhältnis zur Trennung von elastischem und inelastischem Beulen (Abschnitt E).

C mx , C mx

Koeffizient, der auf das Biegungsterm in der Interaktionsgleichung angewendet wird (Abschnitt H).

d

Tiefe des Elements (d ≥  b)

E

Elastizitätsmodul

E 0

Abstand des Scherzentrums von der Mittellinie des Netzes für Kanal:

E 0 = e 0 + t w /2

F a

Maximal zulässige Druckspannung

F b

Maximal zulässige Biegespannung

F bx

Maximal zulässige Biegespannung für starke Achse

F by

Maximal zulässige Biegespannung für schwache Achse

F ex , F ey

Euler-Spannung für prismatisches Element geteilt durch Sicherheitsfaktor.

F t

Maximal zulässige Zugspannung

F y

Streckgrenze

F n

Maximal zulässige Scherspannung

f a

Berechnete axiale Spannung (Zug oder Druck, beide als positiv angenommen)

f b

Berechnete Biegespannung (als positive Menge angenommen)

f bx

Berechnete Biegespannung für starke Achse

f by

Berechnete Biegespannung für schwache Achse

f νx

Berechnete Scherspannung in X-Richtung

f νy

Berechnete Scherspannung in Y-Richtung

h

Zwischenraum zwischen Flanschen in I-förmigen Elementen:

h = d 2t f

I x , I y

Trägheitsmomente um Hauptachsen

I u , I v

Trägheitsmomente um Hauptachsen von Winkelabschnittselementen

K

Effektiver Längenfaktor für prismatisches Element

L

Abstand zwischen Querschnitten, die gegen Verdrehung oder seitliche Verschiebung des Druckflanschs verspannt sind.

L b

Seitlich nicht unterstützte Länge des Druckflanschs.

L c

Maximale unverspannte Länge des Druckflansches.

L x L y

L in X- und Y-Richtung

M 1 , M 2

Kleineres bzw. größeres Moment am Ende der unverspannten Länge.

P

Axialkraftlast

r

Bestimmender Trägheitsradius

r T

Trägheitsradius eines Bereichs, der den Druckflansch plus 1/3 des Drucknetzbereichs umfasst, erfasst um eine Achse in der Netzebene

r x , r y

Trägheitsradius um Hauptachsen.

t

Stärke

t f

Stärke des Flansches

U, V

Hauptachsen des Winkelabschnittselements

u, v

Abstände von Hauptachsen

x, y

Versatz des Schwerpunkts des Winkelabschnitts

Zulässige Spannungen

X ist die starke und Y ist die schwache Achse für alle I-förmigen Elemente und Kanäle. T-Stücke können jede der Achsen als starke Achse haben.

1. Biegespannung für starke Achse

  • Entlang ihrer schwachen Achse belastete Elemente, Y (gebogen um ihre starke Achse, X).
  • Die maximal zulässige Biegespannung der starken Achse wird in diesem Abschnitt als F b bezeichnet.
  • Zwei Kategorien werden berücksichtigt:
    1. I-förmige Elemente, T-Stücke und Kanäle
    2. Rohre und Baustahlrohre, einschließlich quadratische und rechteckige Durchführungen und Rohre

1.A. Elemente mit kompakten Abschnitten

    Kategorie I. I-förmige Elemente, T-Stücke und Kanäle Abschnitt F1.1

  • Enthält auch T-Stücke mit kompakten Flanschen.
  • Entlang der X-Achse geladene T-Stücke werden in dieser Codeüberprüfung nicht berücksichtigt.
  • Gilt für alle I-förmigen Elemente und Kanäle, sowie für T-Stücke mit I xx > I yy . T-Stücke mit I xx I yy werden in der Codeüberprüfung nicht berücksichtigt.

Die zulässige Biegespannung ist

F b = 0.66 F y                                                     

(F1-1)

mit der Abhängigkeit, dass L b L c , angegeben durch den kleineren Wert von:

(F1-2)

    Kategorie II. Rohre und Baustahlrohre Abschnitt F3.1

    Die zulässige Biegespannung ist

  • F b = 0.66 F y                                                     

    (F3-1)
  • unter den folgenden Bedingungen:
    • Rechteckige Elemente können keine größere Tiefe als 6 Mal die Breite haben.
    • L b L c , wobei L c angegeben wird durch

    (F3-2)

außer dass L c nicht kleiner als 1200 (b/F y ) zu sein braucht - M 1 ist das kleinere und M 2 ist das größte Biegemoment um die Enden der unverspannten Länge, erfasst um die starke Achse.

1.B. Elemente mit nicht kompakten Abschnitten

  • Muss die Abhängigkeit erfüllen: L b L c (F1-2) oder (F3-2), einschließlich dass rechteckige Elemente keine größere Tiefe als 6 Mal die Breite haben dürfen.
  • Enthält auch T-Stücke mit nicht kompakten Flanschen.
  • Entlang der X-Achse belastete T-Stücke werden nicht berücksichtigt.

    Kategorie I. I-förmige Elemente, T-Stücke und Kanäle Abschnitt F1.2

(F1-3)

    Kategorie II. Rohre und Baustahlrohre Abschnitt F3.2

F b = 0.60 F y                                                     

(F3-3)

1.C. Elemente mit kompakten oder nicht kompakten Abschnitten mit L b > L c

  • Der Abschnitt ist nur anwendbar für Kategorie I. I-förmige Elemente, T-Stücke und Kanäle.

Wenn das Element sich unter Spannung befindet:

F b = 0.60 F y                                                     

(F1-5)

Wenn das Element sich unter Druck befindet, wird die zulässige Biegespannung als der größere Wert aus den Gleichungen (F1-6) oder (F1-7) und (F1-8) bestimmt, mit folgenden Ausnahmen:

  • Nur Gleichung (F1-8) wird für Kanäle verwendet.
  • Keine der Gleichungen gilt für T-Stücke unter Druck; diese T-Stücke werden also nicht berücksichtigt.

Wenn

(F1-6)

Wenn

(F1-7)

Bei einem beliebigen Wert von L/r T :

(F1-8)

C b wird konservativ als Einheit (1.0) in den Gleichungen (F1-6), (F1-7) und (F1-8) angenommen.

2. Biegespannung für schwache Achse

  • Der Abschnitt gilt nur für Kategorie I. I-förmige Elemente, T-Stücke, Kanäle und Volumenkörperstäbe (prismatische Elemente).
  • Kategorie II. Baustahlrohre in dieser Kategorie verwenden denselben Wert F b , der für ihre starke Achse gefunden wird, für ihre schwache Achse.
  1. Elemente mit Last entlang der starken Achse, X (gebogen um ihre schwache Achse, Y).
    • Diese schwache, zulässige Biegespannung der starken Achse wird als F by bezeichnet, in diesem Abschnitt wird sie jedoch F b genannt.
  2. Gilt für alle I-förmigen Elemente; alle anderen werden nicht berücksichtigt.

    2.A. Elemente mit kompakten Abschnitten: Abschnitt F2.1

  • F b = 0.75 F y

    (F2-1)

    2.B. Elemente mit nicht kompakten Abschnitten: Abschnitt F2.2

  • (F2-3)

3. Zugspannung

F t = 0.60 F y                                                     

Abschnitt D1

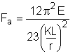
4. Druckspannung

Abschnitt E2

(E2-1)

wobei KL/r der größte Wert unter KL x /r x und KL y /r y ist, die für Rohre und Quadrate gleich sind, und

(E2-2)

5. Kombinierte Spannung

Kapitel H

5.A. Axialer Druck und Biegung

Die folgenden Voraussetzungen müssen erfüllt sein, damit auf Elemente sowohl axialer Druck als auch Biegung ausgeübt wird:

(H1-1)

(H1-2)

Wenn f a /F a 0.15, wird Gleichung (H1-3) anstelle der Gleichungen (H1-1) und (H1-2) verwendet.

(H1-3)

Die Koeffizienten, auch bekannt als Euler-Spannung geteilt durch den Sicherheitsfaktor, F ex und F ey ergeben sich aus Folgendem:

Die Koeffizienten C mx und C my haben einen Standardwert von 0.85.

5.B. Axiale Spannung und Biegung

Die folgenden Voraussetzungen müssen erfüllt sein, damit auf Elemente sowohl axiale Spannung als auch Biegung ausgeübt wird:

(H2-1)