The basic dimensions of walls are presented in the following drawing.
It is assumed that:
a ≥ 10 cm are internal walls
a ≥ 12 cm are external walls
Individual steps of the calculation algorithm for walls subjected to non-seismic loads are as follows:
= unreinforced wall
= reinforced wall
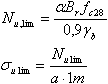
if λ ≤ 50, then
if 50 ≤ λ < 80, then
= unreinforced wall
= reinforced wall
The load capacity condition of the wall is checked for three verification levels. Design and verification of load capacity of the reinforced wall proceeds in bands whose width depends on the wall geometry (with openings considered) and the character of the diagram of stresses in the wall. The maximum width of individual bands is calculated according to point 4,224 of the code DTU 23.1. Division into bands takes account of stress concentrations, areas of tension in concrete, as well as such characteristic points as zones between windows.
Reinforcement in a given band is calculated to the average or maximum stress along the band width, depending whether compression or tension is dealt with.
In subsequent steps of calculations, load capacity of a reinforced or unreinforced wall, is respectively taken into account.
The load capacity condition of the wall is checked for the bottom level of the wall. Load capacity of the wall section is checked for reduced vertical loads, and reinforcement is distributed uniformly in the whole section.
In subsequent steps of calculations, load capacity of a reinforced or unreinforced wall, is respectively taken into account
The minimum ratio of the vertical reinforcement must equal:
The horizontal reinforcement fulfills the condition concerning the reinforcement ratio:
(the reinforcement is distributed uniformly along the wall height)
The influence of bending is taken into account at each point of a wall through analysis of a linear stress diagram, while vertical reinforcement near edges is generated only as constructional reinforcement. Hidden zones near edges are created by generating transversal bars that embrace distributed vertical reinforcement over the width d' (for non-seismic walls this dimension equals max. (a;20cm))
As indicated in the assumptions of the method, calculations of this reinforcement are focused on ensuring that bending with compression can be carried by a structure; it is generated in a 'hidden zone' of the width equal to d'.
Shear reinforcement that runs through the entire wall length must satisfy the following condition:
where:
At - reinforcement area
a, s - wall thickness and spacing of horizontal bars
k - coefficient taking account of the influence of stresses normal to the shear plane
Anti-shrinkage reinforcement:
= vertical
= horizontal