Revit Architecture
Revit MEP
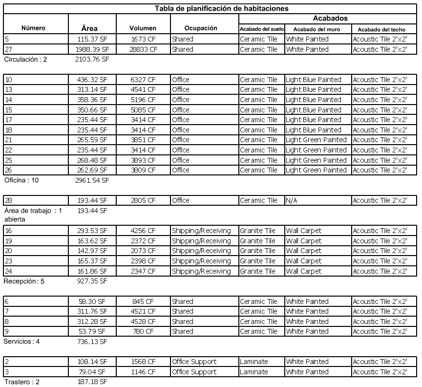
Revit StructureUna tabla de planificación es la presentación en forma de tabla de la información extraída de las propiedades de los elementos de un proyecto. Una tabla de planificación puede presentar una lista de todos los ejemplares del tipo de elemento que esté planificando o puede contraer varios ejemplares en una única fila según los criterios de agrupación de la tabla de planificación.


La tabla de planificación se puede crear en cualquier fase del proceso de diseño. Los cambios que se efectúan en el proyecto y que afectan a la tabla de planificación se actualizan automáticamente en ella. Es posible añadir una tabla de planificación en un plano de dibujo. Consulte Añadir una tabla de planificación a un plano.
Puede exportar una tabla de planificación a otro programa, por ejemplo a un programa de hojas de cálculo.
Todas las tablas de planificación se actualizan automáticamente cuando se modifica el proyecto. Por ejemplo, si mueve un muro, el tamaño en pies cuadrados se actualiza en consonancia en una tabla de planificación de habitaciones.
Al cambiar las propiedades de los componentes de edificación del proyecto, la tabla de planificación asociada se actualiza automáticamente.
Por ejemplo, seleccione una puerta del proyecto y cambie su propiedad de fabricante. La tabla de planificación de puertas refleja el cambio en la propiedad Fabricante.
Puede crear varios tipos de tablas de planificación:
Hay varias opciones de formato para las tablas de planificación. Es posible
grupo Ventanas
grupo Tabla de planificación