Revit Architecture
Revit MEP
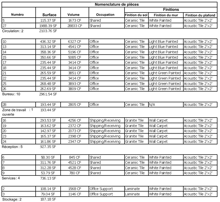
Revit StructureUne nomenclature est une vue tabulaire des informations extraites des propriétés des éléments d'un projet. Une nomenclature peut répertorier chaque occurrence du type d'élément sur lequel elle porte, ou regrouper plusieurs occurrences dans une seule ligne, en fonction des critères de regroupement.


Vous pouvez créer une nomenclature à n'importe quelle étape de la création d'une conception. Lorsque vous apportez au projet des modifications qui ont une incidence sur la nomenclature, celle-ci les met automatiquement à jour. Vous pouvez ajouter une nomenclature à une feuille de dessin. Voir Ajout d'une nomenclature à une feuille.
Vous pouvez exporter les nomenclatures vers d'autres programmes, tels que des tableurs.
Toutes les nomenclatures sont automatiquement mises à jour lors de la modification du projet. Si, par exemple, vous déplacez un mur, la superficie est mise à jour dans la nomenclature des pièces.
Lorsque vous modifiez les propriétés des composants d'un bâtiment du projet, la nomenclature associée est automatiquement mise à jour.
Vous pouvez, par exemple, sélectionner une porte dans le projet et changer sa propriété Fabricant. La nomenclature de la porte reflète le changement apporté à la propriété Fabricant.
Vous pouvez créer plusieurs types de nomenclatures :
Différentes options sont disponibles pour la mise en forme des nomenclatures. Vous pouvez :
le groupe de fonctions Fenêtres
le groupe de fonctions Nomenclature