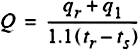
L'espace au-dessus d'un plafond, lorsqu'il est utilisé comme trajectoire de reprise, est un plénum de reprise du plafond. Contrairement à un retour à gaines classique, le plénum peut avoir plusieurs sources de chaleur le long de sa trajectoire. Ces sources de chaleur peuvent être des charges convectives et rayonnantes provenant d'éclairages et de transformateurs, des charges de conduction provenant des murs, des vitrages ou des toits adjacents, ou encore des systèmes de gaines et de canalisation à l'intérieur du plénum. Les équations ci-après montrent comment les températures et le transfert de chaleur des plénums sont calculés dans le moteur :
(35)
(36)
(37)
(38)
(39)
où
= gain de chaleur de l'espace provenant du plénum à travers le plafond, Btu/h
= perte de chaleur provenant du plénum à travers le sol du dessus, Btu/h
= gain de chaleur "récupérée par retour d'air, Btu/h
= reprise, Btu/h
= gain de chaleur d'éclairage pour le plénum par reprise, Btu/h
= gain de chaleur d'éclairage pour l'espace, Btu/h
= gain de chaleur provenant du plénum d'en dessous, à travers le sol, Btu/h
= gain de chaleur provenant du mur extérieur, Btu/h
= charge de refroidissement de l'espace, y compris le traitement approprié de
,
et/ou
, Btu/h
= température du plénum, °F
= température de l'espace, °F
= température de l'espace de l'étage supérieur, °F
= température de soufflage, °F

Diagramme schématique d'un plénum à reprise classique