Allowable Stress

X: Strong axis

Y: Weak axis

Z: Primary axis

Variable Description
α Rotation angle for principal axes of angle section
A Cross-sectional area

A f

Area of compression flange.

A s

Shear area for tubular member - pipe

A sx

X shear area of prismatic member

A sy

Y shear area of prismatic member

b

Width of member (b ≤ d)
b 0

Distance from neutral axis to edge of web:

b e

Effective width of structural tubing member

b f

Width of flange.

C b

Bending coefficient dependent upon moment gradient (section F).

C c

Column slenderness ratio separating elastic and inelastic buckling (section E).

C mx , C mx

Coefficient applied to bending term in interaction equation (section H).

d

Depth of member (d ≥  b)

E

Modulus of elasticity

E 0

Distance of the shear center from center line of web for channel:

E 0 = e 0 + t w /2

F a

Maximum allowable compressive stress

F b

Maximum allowable bending stress

F bx

Maximum allowable strong axis bending stress

F by

Maximum allowable weak axis bending stress

F ex , F ey

Euler stress for a prismatic member divided by factor of safety.

F t

Maximum allowable tensile stress

F y

Yield stress

F n

Maximum allowable shear stress

f a

Computed axial stress (either tension or compression, both taken as positive)

f b

Computed bending stress (taken as a positive quantity)

f bx

Computed strong axis bending stress

f by

Computed weak axis bending stress

f νx

Computed shear stress in X direction

f νy

Computed shear stress in Y direction

h

Clear distance between flanges in I-shaped members:

h = d 2t f

I x , I y

Moments of inertia about principal axes

I u , I v

Moments of inertia about principal axes of angle section member

K

Effective length factor for prismatic member

L

Distance between cross sections braced against twist or lateral displacement of the compression flange.

L b

Laterally unsupported length of the compression flange.

L c

Maximum unbraced length of the compression flange.

L x L y

L in X and Y directions

M 1 , M 2

Smaller and larger moment at end of unbraced length, respectively.

P

Axial force load

r

Governing radius of gyration

r T

Radius of gyration of a section comprising the compression flange plus 1/3 of the compression web area, taken about an axis in the plane of the web

r x , r y

Radius of gyration about principal axes.

t

Thickness

t f

Thickness of flange

U, V

Principal axes of angle section member

u, v

Distances from principal axes

x, y

Offsets of centroid of angle section

Allowable Stresses

X is the strong axis, and Y is the weak axis for all I-shaped and members and channels. Tees can have either axis as their strong axis.

1. Strong Axis Bending Stress

  • Members loaded along their weak axis, Y (bent about their strong axis, X).
  • This maximum allowable strong axis bending stress is referred to as F b in this section.
  • Two categories are considered:
    1. I-shaped members, tees and channels
    2. Pipes and structural tubing, including square and rectangular ducts and pipes

1.A. Members with compact sections

    Category I. I-shaped members, tees and channels Section F1.1

  • Includes tees with compact flanges.
  • Tees loaded along then X-axis are not considered, in this code check.
  • Applicable to all I-shaped and members and channels, and tees with I xx > I yy . Tees with I xx I yy are not considered in code check.

The allowable bending stress is

F b = 0.66 F y                                                     

(F1-1)

with the constraint that L b L c , which is given by the smaller of:

(F1-2)

    Category II. Pipes and structural tubing Section F3.1

    The allowable bending stress is

  • F b = 0.66 F y                                                     

    (F3-1)
  • subject to the following conditions:
    • Rectangular members cannot have a depth greater than 6 times the width.
    • L b L c , where L c is given by

    (F3-2)

except, that L c need not be less than 1200 (b/F y ), M 1 is the smaller and M 2 is the largest bending moments about the ends of the unbraced length, taken about the strong axis.

1.B. Members with noncompact sections

  • Must satisfy constraint, L b L c (F1-2) or (F3-2), including that rectangular members cannot have a depth greater than 6 times the width.
  • Includes tees with noncompact flanges.
  • Tees loaded along the X-axis are not considered.

    Category I. I-shaped members, tees and channels Section F1.2

(F1-3)

    Category II. Pipes and structural tubing Section F3.2

F b = 0.60 F y                                                     

(F3-3)

1.C. Members with compact or noncompact sections with L b > L c

  • The section is only applicable to Category I. I-shaped members, tees and channels.

If member is in tension,

F b = 0.60 F y                                                     

(F1-5)

If member is in compression, the allowable bending stress is determined as the larger value from equations (F1-6) or (F1-7) and (F1-8), with the exceptions:

  • Only equation (F1-8) is used for channels.
  • None of these equations apply to tees in compression, thus such tees are not considered.

When

(F1-6)

When

(F1-7)

For any value of L/r T :

(F1-8)

C b is conservatively taken as unity (1.0) in equations (F1-6), (F1-7) and (F1-8).

2. Weak Axis Bending Stress

  • The section is only applicable to Category I. I-shaped members, tees, channels and solid bars (prismatic members).
  • Category II. Structural tubing in this category use same value of F b found for their strong axis for their weak axis.
  1. Members loaded along their strong axis, X (bent about their weak axis, Y).
    • This weak allowable strong axis bending stress is referred to as F by , yet in this section it is labeled as F b .
  2. Applicable to all I-shaped members; all others are not considered.

    2.A. Members with compact sections: Section F2.1

  • F b = 0.75 F y

    (F2-1)

    2.B. Members with noncompact sections: Section F2.2

  • (F2-3)

3. Tensile Stress

F t = 0.60 F y                                                     

Section D1

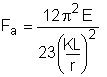
4. Compressive Stress

Section E2

(E2-1)

where KL/r is the largest of KL x /r x and KL y /r y , which are equal for pipes and squares, and

(E2-2)

5. Combined Stress

Chapter H

5.A. Axial compression and bending

The following requirements must be satisfied for members experiencing both axial compression and bending:

(H1-1)

(H1-2)

When f a /F a 0.15, Equation (H1-3) is used in lieu of Equations (H1-1) and (H1-2).

(H1-3)

The coefficients, also known as the Euler stress divided by safety factor, F ex and F ey are given by the following:

The coefficients C mx and C my have a default value of 0.85.

5.B. Axial tension and bending

The following requirements must be satisfied for members experiencing both axial tension and bending:

(H2-1)