Anisotropic Rotary Diffusion (ARD) モデルは、長繊維複合材料を使用した繊維配向解析実行時の繊維配向計算オプションです。
一般的に、長さが 1 mm を超える繊維は長繊維と見なされます。通常、射出成形品では流動方向の繊維配向は、短繊維複合材料よりも長繊維複合材料の方が低いです。Folgar-Tucker モデルおよび RSC モデルで使用する等方性拡散では、長繊維材料の長繊維相互作用の挙動を把握することができず、すべての繊維配向成分の正確な予測を同時に行うことができません。
等方性拡散が Anisotropic Rotary Diffusion (ARD) に置き換えられました。ARD は Phelps と Tucker によって開発され、単位ベクトルのすべての配向によって追跡される単位球面の表面で次のように定義されます。

ここでは、回転拡散テンソル
を
および
の二次関数として仮定し、次のように定義します。

ここで、各々 はスカラー定数で、その値は実験的定常状態での配向と要求される安定した配向を一致させることで決定します。設定 and ARD モデルを Folgar-Tucker モデルまで低減できます。
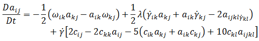
次の ARD モデルの RSC バージョン (ARD-RSC モデル) も開発されています。
Phelps, J. and C. L. Tucker III, An Anisotropic Rotary Diffusion Model for Fiber Orientation in Short- and Long-Fiber Thermoplastics. Journal of Non-Newtonian Fluid Mechanics 156(3): 165–176 (2009).