サザランド

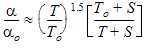
サザランド物性値変化は以下の式で説明されます:

参照温度についての注意事項

サザランド公式の参照温度は材料に特有のものです。たとえば、空気の参照温度は窒素とは異なります。サザランドを使用するカスタム材料を定義する際には、参照温度の値を調べなければなりません。環境温度(材料またはシナリオ環境の一部として定義)が特性定義に含まれる参照温度として使用されているからです。

各材料に特有の参照温度を環境温度として指定することが重要です。(たとえば、材料特有の既知の参照温度が10 °Cの場合、材料環境ダイアログ上で温度として10 °Cを指定します。)環境温度として異なる値を指定すると、結果の特性変化は正しくないものになります。

[環境]ダイアログでの[固定]と[可変]の違い

材料環境ダイアログで固定を選択した場合、べき乗で定義された物性値(粘度、熱伝導率、密度等)が材料エディタで指定する参照値となります。他の物性値変化と異なり、サザランドは固定が選択されていた場合指定された環境条件を反映した物性値の更新を行いません。

可変が選択されている場合には、結果フィールドの環境条件に従って物性値が更新されます

材料ツールチップ

サザランドで定義された物性値の表示されている値は環境条件にかかわらず参照値になります。材料が固定に設定されている場合、この値はモデル全体で使われます。材料が可変に設定されている場合、物性値はフィールドの温度値に基づいて変化します。