質量粒子追跡

デフォルトでは、粒子追跡は、流れの中に質量の無い粒子が放出された場合の経路です。より現実的な可視化技術は、粒子に質量の効果を持たせることです。この粒子追跡結果は、流れ場においてより物理的に現実に近い現象を再現します。

慣性および抗力の効果が考慮され、コーナーを曲がるには粒子の慣性力が大きすぎる場合、壁面にぶつかります。質量粒子は、壁面あるいは対称面に衝突後反発します。反発係数を指定し、衝突の反発量をコントロールすることができます。

質量粒子の可視化に大きな柔軟性をもたらすことのできる設定がいくつかあります。最も基本的な設定は、粒子密度、粒子半径の選択機能です。その他には、ユーザー定義された初期経路、重力の算入、抗力のカスタマイズなどの機能が含まれます。

これらの機能は、質量ダイアログにあります。このダイアログは、粒子追跡タスクダイアログの質量ボタンをクリックして開きます。まず、質量を有効化をチェックします。

質量を与えられた粒子追跡は、順方向にのみ描画され、逆方向には描画されません。したがって、描画点はジオメトリの流入口近くに配置するのが最適です。

必要な情報と単位

粒子密度 粒子半径 を入力し、それぞれに適切な 単位 を選択します。デフォルトの密度は流体の密度であり、デフォルトの半径はモデルを取り囲むボックスに基づいて設定されています。

キエーk4ハ

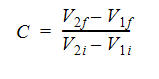
反発係数は、2個の物体間における「跳ね返り」量の尺度です。具体的には、物体の衝突前後の速度の比であり、数学的には以下のように記述できます。

質量粒子では、他の物体は静止した壁面であるため、等式は以下のように簡略化されます。

反発係数の範囲は0.01から1の間です:

反発係数0を指定した質量粒子の例:

反発係数 1 を指定した質量粒子の例:

初期経路

粒子追跡の初期速度と方向を入力するには、初期速度設定ボックスをチェックします。

この機能により、初期速度と軌跡を設定した粒子の相互作用を可視化できます。エアロゾルの流れへの注入はこの例です。

重力

粒子への重力適用をチェックすることにより、粒子追跡機能に体積力の効果を追加することができます。

XYZボックスに力の成分を入力します。

地球上の場合、地球上ボックスをチェックし、重力の作用する単位ベクトルを入力する。

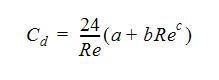
抗力係数の修正

質量粒子に使用する抗力係数は、次式で与えられます。

係数abcを変更することにより、抗力を必要に応じて修正することができます。

浸食

激しい流れの環境で機器の故障を引き起す主要な原因の1つに、高速な流体流れの衝突によるサーフェスの腐食があります。腐食が発生する可能性がある箇所を把握することは、優れた耐久性と長いサービス寿命のための設計を行う上で重要です。

砂、クォーツ、飛散灰などの混入物質がバルブなどの機構で再循環し、衝突する際に、材料の腐食が生じます。石油およびガス産業では、エンジニアが粒子の「メッシュサイズ」に基づいてこの延性腐食を評価します。メッシュサイズは、システム内への混入が考えられる最大粒子サイズです。この現象は、「ウォッシュアウト」とも呼ばれます。

Autodesk Simulation CFD では、Edwards Model を使用した Lagrangian 粒子追跡によって腐食を計算します。低い粒子集中度の想定(スラリー腐食モデルでない)を採用し、結果をスカラー結果量として提示します。これにより設計の比較が容易になり、腐食予測の解釈を当て推量で行うことがなくなります。

腐食モデルは仰角の反発データと材料のブリネル硬さを使用して材料ボリュームの除去率を計算します。このアプローチは、腐食の対象領域を質的に特定します。流れと腐食傾向の間の関係を明らかにすることで、設計を改良して腐食を軽減できます。

浸食の計算についての詳細