[外部流れ]ドロップダウン ボックスには 2 つのオプションがあります。どちらも、一定温度に保たれる平面上の層流に使用します。この 2 つのオプションの違いは、レイノルズ数およびプラントル数の値の範囲です。レイノルズ数およびプラントル数を求めるための計算式は次のとおりです。
ここで
ρ = 流体の密度
U = 流れの特性速度
L = 長さ尺度([ジオメトリ]タブでユーザが入力する)
μ = 流体の動的粘度
c p = 流体の比熱
k = 流体の熱伝導率
各オプションのヌッセルト数を求めるための計算式は次のとおりです。
[T] 平板に沿った層流(0.6<Pr<50):
[T] 平板に沿った層流(Pr>>1, Re<500k):
[内部流れ]ドロップダウン ボックスには、3 種類のエンクロージャ形状に使用できる 12 個のオプションがあります。これらのオプションには、乱流または層流、および一定の温度[T]に保たれる面または一定の熱流束[Q]によって加熱される面が含まれます。これらのオプションの一部については、レイノルズ数およびプラントル数からヌッセルト数を計算します。ただし、レイノルズ数とプラントル数に依存しないオプションもあります。レイノルズ数およびプラントル数を求めるための計算式は次のとおりです。

ここで
ρ = 流体の密度
U = 流れの特性速度
L = 長さ尺度([ジオメトリ]タブでユーザが入力する)
μ = 流体の動的粘度
c p = 流体の比熱
k = 流体の熱伝導率
流れのオプションに関する説明で使用される用語の定義は次のとおりです。
各オプションのヌッセルト数を求めるための計算式は次のとおりです。内部流れに関するこれらの計算式の属性値はいずれも体積温度 Tb で評価されます。
[Q] 層流、丸いパイプ (Pr>0.6):
[T] 層流、丸いパイプ (Pr>0.6):
[T] 乱流、丸いパイプ (Re>10k, L/D>10, 熱い壁):
[T] 乱流、丸いパイプ (Re>10k, L/D>10, 冷たい壁):
[Q] 層流、矩形のダクト (Pr>0.6, 水力):
[T] 層流、矩形のダクト (Pr>0.6, 水力):
[T] 乱流、矩形のダクト (Re>10k, L/D>10熱い壁):
[T] 乱流、矩形のダクト (Re>10k, L/D>10, 冷たい壁):
[Q] 層流、3 角形のダクト (Pr>0.6, 水力):
[T] 層流、3 角形のダクト (Pr>0.6, 水力):
[T] 乱流、3 角形のダクト (Re>10k, L/D>10, 熱い壁):
[T] 乱流、3 角形のダクト (Re>10k, L/D>10, 冷たい壁):
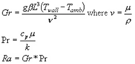
[浮力流れ]ドロップダウン ボックスには、3 種類のエンクロージャ形状に使用できる 8 個のオプションがあります。これらのオプションには、乱流または層流、および一定の温度[T]に保たれるサーフェスまたは一定の熱流束[Q]によって加熱されるサーフェスが含まれます。ヌッセルト数は、グラスホフ数、プラントル数、およびレイリー数を用いて計算します。グラスホフ数、プラントル数、レイノルズ数を求めるための計算式は次のとおりです。

ここで
g = 重力による加速
β = 線膨張係数(理想気体の場合、β = 1/T、ただし T は理想気体の絶対温度。)
L = 長さ尺度([ジオメトリ]タブでユーザが入力する高さと幅の平均)
T wall = 壁の温度
T amb = 流体の環境温度
ν = 流体の動粘性係数
μ = 流体の動的粘性率
ρ = 流体の密度
c = 流体の比熱
k = 流体の熱伝導率
各オプションのヌッセルト数を求めるための計算式は次のとおりです。浮力に関するこれらの計算式の属性値はいずれも膜温度 Tf で評価されます。
[T] 層流、垂直の板:

[T] 乱流、垂直の板:

[T] 層流、水平の板 (上向き、100k<Ra<10M): (高温の板の上面、または低温の板の下面)
[T] 乱流、水平の板 (上向き、20M<Ra<30G): (高温の板の上面、または低温の板の下面)
[T] 層流、水平の板 (下向き、300k<Ra<30G): (高温の板の下面、または低温の板の上面)
[Q] 層流、水平の板 (上向き、Ra<200M): (高温の板の上面、または低温の板の下面)
[Q] 層流、水平の板 (上向き、500M<Ra<100G): (高温の板の上面、または低温の板の下面)
[Q] 層流、水平の板 (下向き、1M<Ra<100G): (高温の板の下面、または低温の板の上面)