Neo-Hookean 材料モデルは超弾性材料モデルで、2D、ブリック、4 面体要素で使用できます。材料特性を以下に示します。
ルーチンを使用するには、[要素の材料指定]ダイアログの[カーブフィット]カーブ フィッティングボタンをクリックします。このルーチンによって、計測済みの応力-ひずみデータを使用して材料定数が計算されます。
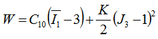
Neo-Hookean 材料のポテンシャル関数は次のとおりです。
ただし、
: 最初の偏差ひずみ不変量
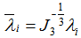
: 偏差伸張
: 主伸張
: 総体積比 |
注:
|
初期せん断係数、µ0 は µ0 = 2C10 から推定できます。 K = κ0 : 体積弾性率。 |