Fiações permanentes podem ser criadas utilizando um de dois métodos:
Converter para painel de condutor. Após criar a fiação permanente, a fiação permanece visível na vista quando o circuito não estiver selecionado.
Painel elétrico. Adicionar o fio a seu projeto é opcional. É possível criar circuitos sem o fio; o Revit mantém a inteligência associada com o circuito. Use propriedades do circuito para especificar o tipo de fio utilizado em um circuito. Consulte Propriedades do circuito.
Converter um circuito temporário em fiação permanente
Selecione o tipo de fiação para o circuito
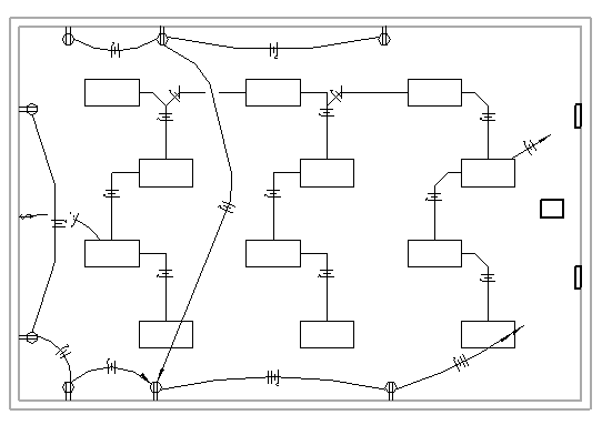
A fiação em arco é usada com frequência para representar a fiação oculta em paredes, forros e pisos.
A fiação chanfrada é usada com frequência para representara fiação exposta.
No exemplo a seguir, a fiação em arco conecta as tomadas de corrente e a fiação chanfrada conecta as luminárias.
