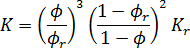
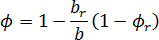
预塑多孔性与渗透性模型
纤维材料的多孔性和渗透性都会影响反应成型分析中的填充模式。
预塑的多孔性可表示为以下方程:
,其中:
为多孔性
为纤维材料的厚度
带有下标
的值 是在指定参考厚度的值
预塑的渗透性可表示为以下方程:
,其中
为渗透性。
父主题:
模拟模型