Ergebnisse – Optionen

Die auf dieser Seite besprochenen Optionen finden Sie in der Multifunktionsleistenregisterkarte Ergebniskonturen, der Multifunktionsleistenregisterkarte Ergebnis abfragen, der Multifunktionsleistenregisterkarte Ergebnisoptionen oder auf zwei oder mehr dieser Multifunktionsleistenregisterkarten. Beispiel: Die Gruppe Optionen für Lastfall ist in drei Multifunktionsleistenregisterkarten vorhanden: Ergebniskonturen, Ergebnisse abfragen und Ergebnisoptionen.

Lastfall

Im Folgenden werden die Schaltflächen in der Gruppe Lastfall erläutert. Dieses Untermenü ist nur verfügbar, wenn für das aktuelle Modell mehrere Lastfälle vorhanden sind.

Die Begriffe Lastfall und Zeitschritt werden in einer dynamischen Analyse als Synonyme verwendet: Sie stellen einen Ergebnissatz für bestimmte Lasten dar.

  • Erster: Durch diesen Befehl werden die Lasten und Ergebnisse des ersten Lastfalls angezeigt.
  • Voriger: Durch diesen Befehl werden die Lasten und Ergebnisse des vorherigen Lastfalls angezeigt.
  • Mittlerer: Durch diesen Befehl werden die Lasten und Ergebnisse des vorherigen Lastfalls angezeigt.
  • Nächster: Durch diesen Befehl werden die Lasten und Ergebnisse des nächsten Lastfalls angezeigt.
  • Letzte Ergebnisse: Durch diesen Befehl werden die Lasten und Ergebnisse des zuletzt analysierten Lastfalls angezeigt. Der letzte Lastfall, für den Ergebnisse vorliegen. Wenn die Analyse vor dem Beenden angehalten wurde (oder noch ausgeführt wird), haben der zuletzt analysierte Lastfall und der zuletzt angeforderte Lastfall unterschiedliche Lastfallnummern.
  • Zuletzt angefordert: Durch diesen Befehl werden die Lasten und Ergebnisse des zuletzt angeforderten Lastfalls angezeigt. Wenn die Analyse beendet wurde, sind zudem die Ergebnisse verfügbar.
  • Einstellen: Durch diesen Befehl wird ein Bildschirm aufgerufen, in dem Sie einen konkreten Lastfall angeben können, für den Ergebnisse angezeigt werden sollen.
  • Automatisch fortschreiten: Bei einigen Berechnungsarten werden die Ergebnisse eines Lastfalls direkt nach der Analyse ausgegeben und zur Überprüfung bereitgestellt. Nichtlineare und transiente Wärmeübertragungsanalysen sind Beispiele für Berechnungsarten, bei denen die Ergebnisse während der Analyse überprüft werden, um zu gewährleisten, dass das Modell korrekt eingerichtet ist und wie erwartet fortschreitet.

    Beim Aufruf des Befehls Automatisch fortschreiten werden die Ergebnisse aktualisiert, sobald neue Ergebnisse verfügbar sind. Wenn der Befehl deaktiviert wird, indem Sie ihn ausschalten oder einen anderen Lastfall auswählen, werden die neuen Ergebnisse nach der Berechnung nicht angezeigt.

  • Analyse wird ausgeführt: Für Analysen, die den Befehl "Automatisch fortschreiten" verwenden, gibt dieses Menüelement an, ob die Analyse ausgeführt wird (Menüelement ist aktiviert) oder nicht (Menüelement ist nicht aktiviert). Einige Funktionen sind während der Analyse deaktiviert, z. B. Änderungen am Modell und Beenden der Software.

    Die Analyse gilt als in Bearbeitung, wenn das Analysefenster geöffnet ist, selbst wenn die Analyse selbst abgeschlossen ist.

Spektrumsanteil

Wenn Sie die Ergebnisse einer Spektrumsanteilanalyse anzeigen und als Analysemethode entweder NRC Reg. Richtwert 1,92 oder Geändertes Verfahren verwendet wird, ist die Option Ergebnisoptionen Analysespezifisch Spektrumsanteil verfügbar. Für jede Spektrumlastrichtung (X-, Y-, Z-Richtungsfaktoren in den Analyseparametern) und jede Eigenfrequenz werden separate Ergebnisse angegeben. Durch den Befehl Spektrumsanteil wird festgelegt, welche Lastrichtung angezeigt wird, während Ergebniskonturen Optionen für Lastfall die angezeigt Eigenfrequenz definiert.

Resultante

Dieser Befehl ist nur für eine Antwortspektrum, willkürliche Schwingungen und DDAM-Analysen (Dynamic Design Analysis Method) verfügbar. Dies ist standardmäßig aktiviert. Die Anzeige enthält die Resultante aller in der Analyse verwendeten Eigenfrequenzen. Um die einzelnen Komponenten der Eigenfrequenzen anzuzeigen, deaktivieren Sie diesen Befehl. Die einzelnen Eigenfrequenzen werden dann jeweils als ein separater Lastfall angezeigt.

Anmerkung:
  • Die Resultante ist häufig eine Quadratwurzelsumme von den Quadraten (SRSS, Square Root Sum of the Squares) der Ergebnisse der einzelnen Modi. Daher geht das Vorzeichen des Ergebnisses verloren (alle Werte sind positiv). Die Größe des Ergebnisses hat möglicherweise eine gewisse Bedeutung, es sind jedoch keine Informationen über die Richtung verfügbar.
  • Beispiel: Nehmen Sie die maximale Hauptspannung von 300 und 450 in den Modi 1 und 2 und die minimale Hauptspannung von -14000 und -12500. Das negative Vorzeichen für die minimalen Hauptspannungen deutet auf die Komprimierung hin. Die SRSS hiervon wäre 541 bzw. 18770. Da das negative Vorzeichen verloren geht, scheint die minimale Hauptspannung größer zu sein als die maximale Hauptspannung.

Antworttyp

Dieser Befehl ist nur für eine Frequenzantwortanalyse verfügbar. Sie haben die Möglichkeit, die phasensynchronen, phasenverschobenen oder SRSS-Ergebnisse für jede angewendete Frequenz anzuzeigen.

Ergebnisse glätten

Tipp:
  • Die folgenden Informationen zum Glätten der Ergebnisse basieren auf den Vorgabeeinstellungen. Der Befehl Glättungsoptionen verfügt über verschiedene Einstellungen, die das nachfolgende Verhalten des Befehls Ergebnisse glätten beeinflussen, z. B.:
    • Typ des Glättungsvorgangs (mittleren Wert anzeigen, Bereich zwischen Ergebnisse an einem Knoten anzeigen usw.)
    • Glättung zwischen verschiedenen Bauteilen im Modell
    • Reihenfolge der arithmetischen Operationen (Glättung vor oder nach dem Berechnen des Endergebnisses)

Mithilfe des Befehls Ergebnisse glätten erzeugen Sie eine glattere Darstellung des angezeigten Modells, ohne abrupte Farbübergänge. Für elementbasierte Ergebnisse (z. B. Spannung) werden die Werte an den Knoten für jedes Element unabhängig berechnet. Aus diesem Grund kann eine Schrittänderung oder Diskontinuität an den Elementbegrenzungen bestehen. Die Unterschiede sind ein natürliches Resultat des FEM-Verfahrens. Bis zu einem gewissen Grad stimmt die tatsächliche Spannung näherungsweise mit dem Durchschnitt aller Spannungen an dem Knoten überein. Durch den Befehl Ergebnisse glätten wird Folgendes erzielt: Die Ergebnisse zwischen angrenzenden Elementen werden gemittelt, und der Durchschnittswert wird an dem Knoten angezeigt.

Dieser Ansatz ist für kontinuierliche Modelle geeignet. Wenn das Modell eine Schrittänderung enthält (z. B. eine Änderung in der Plattenelementdicke), sollten die Spannungen an den Begrenzungen zwischen den verschiedenen Bauteilen nicht gemittelt werden (es wird nicht standardmäßig ein Durchschnittswert berechnet).

Ist der Befehl Ergebnisse glätten nicht aktiviert, werden die Daten in der Rohform angezeigt, sodass jeder Knoten über mehrere Ergebnisse verfügt (ein Ergebnis für jedes mit dem Knoten verbundene Element).

Für knotenbasierte Ergebnisse (Verschiebung, Temperatur, Geschwindigkeit usw.), gibt es nur einen Wert an jedem Knoten, sodass der Befehl Ergebnisse glätten keine Auswirkungen hat.

Glättungsoptionen

Wenn dieser Befehl aktiviert ist, wird das Dialogfeld Glättungsoptionen eingeblendet.

  • Glättungsfunktion: In dieser Dropdown-Liste können Sie den Glättungswert an jedem Knoten auswählen.
    • Keine: Durch diese Option wird die Glättung aus dem Modell entfernt. Dies entspricht dem Deaktivieren von Ergebniskonturen Einstellungen Ergebnisse glätten.
    • Maximum: Durch diese Option wird der Maximalwert aus allen Elementen ermittelt, die sich an dem jeweiligen Knoten treffen, und für die Glättung an dem Knoten verwendet.
    • Mittelwert: Dies ist die standardmäßige Glättungsmethode. Hierdurch wird der Durchschnitt der Werte aus allen Elementen für jeden Knoten gebildet und für die Glättung an dem Knoten verwendet.
    • Minimum: Durch diese Option wird der Minimalwert aus allen Elementen ermittelt, die sich an dem jeweiligen Knoten treffen, und für die Glättung an dem Knoten verwendet.
    • Bereich: Durch diese Option wird die Differenz zwischen Minimal- und Maximalwert aus allen Elementen gebildet, die sich an dem jeweiligen Knoten treffen, und für die Glättung an dem Knoten verwendet.
    • Summe: Durch diese Option wird die Summe aus allen Elementen gebildet, die sich an dem jeweiligen Knoten treffen, und für die Glättung an dem Knoten verwendet.
  • Über Bauteilränder glätten: Wenn dieses Kontrollkästchen aktiviert ist, werden die Werte an den Knoten geglättet, die von Elementen in verschiedenen Bauteilen einer Baugruppe gemeinsam verwendet werden. Sie können die Begrenzungen, über die eine Glättung erfolgt, einschränken, indem Sie eine der folgenden Optionen deaktivieren.
    • Über Elementtypränder glätten: Wenn diese Option aktiviert ist, werden die Werte an den Knoten geglättet, die von Elementen unterschiedlichen Typs gemeinsam verwendet werden. Dieser Befehl wird nur auf Elementtypen mit der gleichen Art von Geometrie angewendet. Beispiel: Wenn diese Option aktiviert ist (und das Kontrollkästchen Über Elementtypränder glätten deaktiviert ist), werden die Ergebnisse über zwei Bauteile geglättet, die aus Quadern und Tetraedern, Platten und Membranen oder Balken und Stäben bestehen. Für Bauteile aus Balken und Quadern werden die Ergebnisse nicht geglättet.
    • Über Geometrietypränder glätten: Wenn dieses Kontrollkästchen aktiviert ist, werden die Werte an den Knoten geglättet, die von Elementen unterschiedlichen Geometrietyps gemeinsam verwendet werden. Es gibt drei Arten von Geometrie: Volumenkörper (Quader und Tetraeder), Ebenen (2D, Platten, Membrane und Verbundwerkstoffe) und Linien (Stäbe und Balken).
  • Glätten nicht erlaubt über Kantenwinkel größer als: Wenn dieses Kontrollkästchen aktiviert ist, werden die Ergebnisse an Knoten nicht geglättet, die von zwei Elementen mit einem Kantenwinkel größer als dem in das Feld darunter eingegebenen Wert gemeinsam verwendet werden. Der Kantenwinkel ist der Winkel zwischen den Vektoren, die senkrecht zu den Flächen der Elemente verlaufen. Wenn beispielsweise zwei Plattenelemente in derselben Ebene liegen, beträgt der Kantenwinkel 0 Grad. Wenn sich zwei Plattenelemente an einer Kante eines Würfels treffen, beträgt der Kantenwinkel 90 Grad.
    • Element-lokales Koordinatensystem berücksichtigen: Wenn dieses Kontrollkästchen aktiviert ist, wird anstelle des Kantenwinkels der Winkel zwischen den lokalen Achsen 1, 2 und 3 verwendet. Wenn der Winkel zwischen der lokalen Achse 1 eines Elements und der lokalen Achse 1 eines angrenzenden Elements größer ist als der in dem Feld oberhalb dieser Option angegebene Wert, werden die Ergebnisse an diesem Knoten nicht geglättet. Das Gleiche gilt, wenn der Winkel zwischen den lokalen Achsen 2 oder 3 angrenzender Elemente größer ist als der angegebene Wert.
  • Vor dem Anwendung von Operatoren abgleichen: Einige sekundäre Ergebnisse, z. B. von Mises-Spannung und Hauptspannung, sind das Ergebnis einer Berechnung, die auf anderen Ergebnissen basiert. Wenn diese sekundären Ergebnisse geglättet werden, kann der Abgleich auf zwei Arten auf die Berechnung angewendet werden. Eine Möglichkeit ist, die in der Gleichung verwendeten Basisergebnisse zu glätten und anschließend das endgültige Ergebnis zu berechnen. Hierdurch erhalten Sie ein endgültiges Ergebnis. Die zweite Möglichkeit ist, das sekundäre Ergebnis basierend auf den ungeglätteten Basisergebnissen zu berechnen. Hierdurch erhalten Sie eine bestimmte Anzahl n sekundärer Ergebnisse, auf die dann der Glättung angewendet und ein endgültiges Ergebnis ermittelt wird.

    Wenn das Kontrollkästchen Vor dem Anwendung von Operatoren abgleichen nicht aktiviert ist, erfolgen die Berechnungen in der folgenden Reihenfolge:

    • Abrufen der Basisergebnisse (z. B. Spannungstensor).
    • Übertragen das Referenzrahmens, falls erforderlich.
    • Anwenden des Operators oder der Gleichung unter Verwendung der Basisergebnisse, um N Ergebnisse auszugeben.
    • Glätten der N Ergebnisse mithilfe der Glättungsfunktion, um ein endgültiges Ergebnis zu erhalten.

    Wenn das Kontrollkästchen Vor dem Anwendung von Operatoren abgleichen aktiviert ist, wechselt die Reihenfolge der letzten beiden Berechnungen.

    • Abrufen der Basisergebnisse (z. B. Spannungstensor).
    • Übertragen das Referenzrahmens, falls erforderlich.
    • Glätten der Basisergebnisse mithilfe der Glättungsfunktion.
    • Anwenden des Operators oder der Gleichung unter Verwendung der geglätteten Basisergebnisse, um ein endgültige Ergebnis zu erhalten.

    Dies kann deutlich abweichende Ergebnisse zur Folge haben, wenn das Basisergebnis eine abrupte Änderung über mehrere Elemente an einem einzelnen Knoten aufweist. Schauen Sie sich als Beispiel die folgenden Ergebnisse aus einer 2D-Spannungsanalyse an. Die beiden Elemente sind an dem gemeinsamen Knoten mit der Nummer 21 verbunden.

    Spannungswert Element 10, Knoten 21 Element 11, Knoten 21 Mittelwert
    Spannung YY 1.635,8 362,5 999,2
    Spannung ZZ 425,7 8,8 217,3
    Scherspannung YZ -294,4 534,1 119,9
    von Mises 1.555,9 992,0 1,274.0

    Wenn Sie die Glättungsfunktion anhand des Mittelwerts verwenden oder die Glättung nach Anwendung von Operatoren durchführen (Vor dem Anwendung von Operatoren abgleichen ist deaktiviert), ist das endgültige Ergebnis für die Berechnung der von Mises-Spannung der Durchschnitt der beiden einzelnen von Mises-Spannungen bzw. 0,5 * (1.555,9 + 992,0) = 1.273,9. Bei einer Glättung vor Anwendung der Operatoren wird das endgültige Ergebnis mit der von Mises-Gleichung und dem Mittelwert der Spannungstensoren ermittelt undbeträgt = 933,6. Dieses hypothetischen Modell weist eine deutliche Änderung der Spannung zwischen angrenzenden Elementen auf. Das Netz sollte daher verfeinert werden. In Bereichen ohne große Diskontinuität in den Basisergebnissen zwischen angrenzenden Elementen sollte die Option Vor dem Anwendung von Operatoren abgleichen keine deutliche Änderung in dem geplotteten Ergebnis zur Folge haben. Beim Plotten von Skalaren oder einzelne Komponenten eines Tensors oder Vektors, hat das Kontrollkästchen Vor dem Anwendung von Operatoren abgleichen keine sichtbaren Auswirkungen außer geringfügiger Leistungseinbußen.

    Verwenden Sie für die Berechnung des Sicherheitsfaktors eine imaginäre Streckgrenze von 2000. Wenn Sie nach Anwendung der Operatoren eine Glättung durchführen, entspricht der Sicherheitsfaktor dem Durchschnitt der einzelnen Sicherheitsfaktoren bzw. 0,5 * (2000/1555,9 + 2000/992,0) = 1,65. Bei einer Glättung vor Anwendung der Operatoren werden zuerst die Spannungskomponenten geglättet. Anschließend wird eine von Mises-Spannung und dann ein Sicherheitsfaktor berechnet, d. h. 2000/933,6 = 2,14.

    Als weiteres Beispiel können Sie ein hypothetisches Modell heranziehen, in dem Wärme in einer bestimmten Menge direkt von einer Knotenwärmequelle weg strömt, und zwar in entgegengesetzter Richtung durch zwei verschiedene Elemente, die den Knoten verwenden. (Beachten Sie, dass der Wärmestrom ein Vektorergebnis ist.) Da die Größe ein Vorgang für einzelne Vektorkomponenten ist, entspricht die Größe des mittleren Wärmestroms einem positiver Wert X, wenn die Glättung nach Anwendung von Operatoren erfolgt (Berechnung der Größe jedes Vektors und anschließende Ermittlung des Durchschnitts). Erfolgt die Glättung vor Anwendung von Operatoren (Mittelwert von zwei gleichen, aber entgegengesetzten Vektoren und Berechnung der Größe), beträgt der Wert Null.

    Die folgende Tabelle gibt einen Überblick über diese Beispiele.

      Nach Anwendung von Operatoren glätten Vor dem Anwendung von Operatoren abgleichen
    von Mises-Spannung
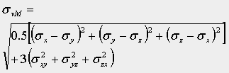
    1. Berechnen Sie die von Mises-Spannung σvMn für jeden Knoten auf den einzelnen Elementen.
    2. Glätten Sie die einzelnen berechneten von Mises-Spannungen σvMn. Für eine Glättung der Mittelwerte

    1. Glätten Sie die einzelnen Spannungstensoren für jeden Knoten auf den einzelnen Elementen.
    2. Berechnen der von Mises-Spannung aus

    Dabei werden alle sechs Spannungskomponenten geglättet.

    Sicherheitsfaktor
    1. Berechnen Sie die von Mises-Spannung σvMn für jeden Knoten auf den einzelnen Elementen.
    2. Berechnen Sie den Sicherheitsfaktor für jeden Knoten auf den einzelnen Elementen.
    3. Glätten Sie die Sicherheitsfaktoren. Für eine Glättung der Mittelwerte

    1. Berechnen Sie eine von Mises-Spannung mithilfe der geglätteten Tensorspannungen (Schritt 1 und 2 oben).
    2. Berechnen des Sicherheitsfaktors anhand der einen von Mises-Spannung

    Größe des Wärmestromvektors
    • Berechnen Sie die Größe jedes Vektors.
    • Glätten Sie die einzelnen Größen.
    • Glätten Sie alle Vektoren für jeden Knoten jedes Elements.
    • Berechnen Sie die Größe.

    Die Option Vor dem Anwendung von Operatoren abgleichen kann erhebliche Auswirkungen haben, wenn der Operator für den absoluten Wert mit Basiswerten unterschiedlichen Vorzeichens an einem einzelnen Knoten verwendet wird oder wenn der von Mises-Operator auf Tensoren angewendet wird, die ähnliche Hauptwerte, aber unterschiedliche Hauptrichtungen haben.

    Tipp: Wenn die Option Vor dem Anwendung von Operatoren abgleichen abgeblendet ist, ist diese Option für den aktuellen Ergebnistyp ungültig.

Absoluter Wert

Wenn dieser Befehl aktiviert ist, werden die absoluten Werte der Kontur angezeigt. Wenn Sie den Befehls Ergebnisse glätten verwenden, werden für die Glättung an jedem Knoten die absoluten Werte genutzt.

Maximalwert

Wenn dieser Befehl aktiviert ist, wird die Kontur der Elemente entsprechend dem Knoten mit der höchsten Anzeigewert für die Spannung dargestellt. Er kann zusammen mit dem Befehl Absoluter Wert verwendet werden. Diese Option ist nicht verfügbar, wenn der Befehl Glättungsoptionen aktiviert ist.

Sicherheitsfaktor

Wenn dieser Befehl aktiviert ist, wird der Sicherheitsfaktor für die ausgewählte Spannungskontur angezeigt. Der Sicherheitsfaktor ist das Verhältnis zwischen zulässiger Spannung und tatsächlicher Spannung. Ein Sicherheitsfaktor von 1 bedeutet, dass die Spannung gleich dem zulässigen Grenzwert ist. Ein Sicherheitsfaktor von weniger als 1 kennzeichnet einen Fehler. Ein Sicherheitsfaktor von größer als 1 kennzeichnet eine zulässige Analyse. Die zulässigen Spannungen können mithilfe des Befehls Zulässige Spannungswerte festsetzen pro Bauteil zugewiesen werden.

Im Abschnitt Glättungsoptionen finden Sie wichtige Informationen darüber, wie sich die Option Vor dem Anwenden von Operatoren abgleichen auf den Faktor der Sicherheitsberechnung auswirkt.

Zulässige Spannungswerte festsetzen

Bei Auswahl dieses Befehls wird das Dialogfeld Zulässige Spannungswerte eingeblendet. Jedes Bauteil wird in einer separaten Zeile aufgeführt. Sie können entweder einen Wert in die Spalte Zulässige Spannung eingeben oder auf die Schaltflächen Streckgrenze laden bzw. Bruchgrenze laden klicken, um Werte aus der Materialbibliothek zu laden. Wenn kein Wert vorhanden ist, wird die zulässige Spannung auf 0 gesetzt. Alle Bauteile, für die die zulässige Spannung auf 0 eingestellt wird, werden aus den Analysen des Sicherheitsfaktors ausgeschlossen.

Anmerkung: Die Einträge in der Spalte Zulässige Spannungswerte werden individuell für jedes Präsentationsfenster festgelegt. Aus diesem Grund können die Konturen für den Sicherheitsfaktor in jedem Fenster unterschiedliche Ergebnisse aufweisen, auch wenn es sich um das gleiche Modell handelt.

Verschobenes Modell anzeigen

Wenn dieser Befehl aktiviert ist, wird das verschobene Modell in der Standardskalierung angezeigt. Sie können die Skalierung mit dem Befehl Optionen Verschiebung ändern.

Optionen Verschiebung

Bei Auswahl dieses Befehls wird das Dialogfeld Optionen Verschiebung eingeblendet.

  • Abschnitt Verschobenes Modell
    • Verschobenes Modell anzeigen: Wenn Sie diese Option aktivieren, kann die aufgrund der Last abgeschrägte Form des Modells angezeigt werden. Sie können die Skalierung der abgeschrägten Form im Abschnitt Skalierungsfaktor steuern. Auf der abgeschrägten Form werden weiterhin alle Ergebniskonturen angezeigt.
    • Abschnitt Skalierungsfaktor
      • Als absoluter Wert: Bei Auswahl dieser Option können Sie die Skalierung der Verformungen mithilfe des Skalierungsfaktors steuern. Dieser Wert wird in das Feld Skalierungsfaktor eingegeben. Beim Drücken der EINGABETASTE oder TABULATORTASTE wird das Modell im Anzeigebereich automatisch skaliert, sodass es dem angegebenen Skalierungsfaktor entspricht.
      • Als Prozentsatz der Modellgröße: Bei Auswahl dieser Option können Sie die Skalierung der Verformungen entsprechend einem Prozentsatz der Modellgröße steuern. Dieser Prozentwert kann festgelegt werden, indem Sie einen Wert in das Feld Skalierungsfaktor eingeben oder den Schieberegler verwenden. Beim Drücken der EINGABETASTE oder TABULATORTASTE wird das Modell im Anzeigebereich automatisch skaliert, sodass es dem angegebenen Skalierungsfaktor entspricht.
  • Abschnitt Unverschobenes Modell anzeigen als
    • Nicht anzeigen: Wählen Sie dieses Optionsfeld aus, wenn das unverschobene Modell nicht angezeigt werden soll.
    • Netz: Bei Auswahl dieses Optionsfelds wird das Netz des unbelasteten Modells angezeigt, das als Referenzrahmen für die abgeschrägte Form verwendet werden soll. Die unverschobene Form wird nicht schattiert.
    • Netz auf verschobenem Modell: Bei Auswahl dieses Optionsfelds werden die Netzlinien der unverschobenen Form der schattierten verschobenen Form überlagert.
    • Transparent: Bei Auswahl dieses Optionsfelds wird das schattierte unverschobene Modell transparent angezeigt. Der Transparenzgrad kann unter Ergebnisoptionen Ansichtseinstellungen Transparenzgrad gesteuert werden.

Isolinien plotten

Bei Auswahl dieses Befehls wird die aktuelle Ergebniskontur als Isolinien angezeigt, die die Standorte mit identischen Ergebnissen verbinden. Die Isolinieneinstellungen können mithilfe des Befehls Optionen Isoausgaben geändert werden.

Isoflächen ausgeben

Bei Auswahl dieses Befehls wird die aktuelle Ergebniskontur als Isoflächen angezeigt, die die Standorte mit identischen Ergebnissen verbinden. Die Isoflächeneinstellungen können mithilfe des Befehls Optionen Isoausgaben geändert werden.

Optionen Isoausgaben

Durch diesem Befehl wird das Dialogfeld Optionen Isoausgaben aufgerufen, in dem Sie die Einstellungen für Isolinien und Isoflächen im Modell steuern können.

  • Einfarbig ausgeben: Wenn dieses Kontrollkästchen aktiviert ist, werden alle Isoausgaben in der Farbe angezeigt, die im Pulldown-Menü auf der rechten Seite angegeben wurde. Wird dieses Kontrollkästchen nicht aktiviert, wird die Farbe der Isoausgaben entsprechend der Größe des Anzeigewerts bestimmt.
  • Isoflächen durchsichtig: Wenn dieses Kontrollkästchen aktiviert ist, werden die Isoflächen transparent dargestellt. Der Transparenzgrad kann unter Ergebnisoptionen Ansichtseinstellungen Transparenzgrad gesteuert werden.
  • Steuern von Isoausgaben: In den Abschnitten Basiswert bei und Anzahl der Erhöhungen wird gesteuert, wie viele Isolinien oder Isoflächen angezeigt werden und an welchen Werten diese angezeigt werden.

Wenn nur eine einzelne Isolinie oder Isofläche an einem bestimmten Wert angezeigt werden soll, wählen Sie das Optionsfeld Einzeln im Feld Anzahl der Erhöhungen und dann das Optionsfeld Angeben im Feld Basiswert bei aus. Geben Sie den Wert in das angrenzende Feld ein.

Wenn die Isolinien oder Isoflächen basierend auf den maximalen und minimalen Werten in der aktuellen Anzeige gleichmäßig verteilt werden sollen, wählen Sie das Optionsfeld Erhöhungen im aktuellen Bereich im Abschnitt Anzahl der Erhöhungen aus, und geben Sie die Anzahl der Isolinien oder Isoflächen, die erstellt werden sollen, in das angrenzende Feld ein. Die Differenz zwischen den maximalen und minimalen Werten wird durch den angegebenen Wert dividiert. Isolinien oder Isoflächen werden dann in diesem Intervall generiert. Wenn die Optionsfelder Minimum des aktuellen Ergebnisses oder Maximum des aktuellen Ergebnisses im Abschnitt Basiswert bei ausgewählt wurden, beginnen die Isolinien oder Isoflächen beim Minimalwert und enden beim Maximalwert. Bei Auswahl des Optionsfelds Angeben wird die erste Isolinie oder Isofläche an dem Wert im angrenzenden Feld angezeigt. Die restlichen Isolinien oder Isoflächen werden in den angegebenen Intervallen unterhalb und oberhalb dieses Werts generiert.

Um das Intervall zwischen den generierten Isolinien oder Isoflächen anzugeben, aktivieren Sie das Optionsfeld Erhöhung alle im Abschnitt Anzahl der Erhöhungen, und geben Sie das Intervall in das angrenzende Feld ein. Wenn die erste Isolinie oder Isofläche an dem Minimalwert und die nachfolgenden Isolinien oder Isoflächen in dem angegebenen Intervall darüber gezeichnet werden sollen, aktivieren Sie das Optionsfeld Minimum des aktuellen Ergebnisses im Abschnitt Basiswert bei. Wenn die erste Isolinie oder Isofläche an dem Maximalwert und die nachfolgenden Isolinien oder Isoflächen in dem angegebenen Intervall darunter gezeichnet werden sollen, aktivieren Sie das Optionsfeld Maximum des aktuellen Ergebnisses im Abschnitt Basiswert bei. Wenn die erste Isolinie oder Isofläche an einem bestimmten Wert und die nachfolgenden Isolinien oder Isoflächen in dem angegebenen Intervall darunter oder darüber gezeichnet werden sollen, aktivieren Sie das Optionsfeld Angeben im Abschnitt Basiswert bei, und geben Sie den Wert in das angrenzende Feld ein.

  • Ausgeben von Isolinien zwischen Isoflächen: Wenn Sie das Kontrollkästchen Ausgabe aktivieren und einen Wert in das angrenzende Feld eingeben, können Isolinien für inkrementelle Werte zwischen den Isoflächen angezeigt werden. Der Bereich zwischen den Isoflächen wird anhand des angegebenen Werts gleichmäßig unterteilt, und an den entsprechenden Werten werden Isolinien gezeichnet.

Flächenkontakt

Bei Auswahl dieses Befehls wird das Dialogfeld Allgemeine Flächenkontaktoptionen aufgerufen.

  • Fläche, auf der die Ergebnisse angezeigt werden: Wählen Sie die Fläche in den Kontaktpaaren aus, auf denen die Kontaktabstandsergebnisse ausgegeben werden sollen. Die primäre und sekundäre Fläche werden im Dialogfeld Allgemeiner Fläche-Fläche-Kontakt definiert.
  • Folgende Paare einbeziehen: In diesem Feld werden alle Kontaktpaare aufgeführt. Aktivieren Sie das Kontrollkästchen neben den Paar, damit die Kontaktabstandsergebnisse für dieses Paar schattiert werden. Deaktivieren Sie das Kontrollkästchen, um die Kontaktabstandsergebnisse für das Paar nicht zu schattieren.

Optionen Gehäuse

Dieser Befehl ist nur für Strukturanalysen verfügbar.

  • Abschnitt Biegung/Membran
    • Gesamtspannung/-dehnung: Bei Auswahl dieser Option wird in der Ergebnisanzeige die gesamte obere/untere Spannung bzw. Dehnung angezeigt. Die Gesamtspannung setzt sich zusammen aus den Axialspannungen, Scherspannungen und Biegespannungen.
    • Biegespannung/-dehnung: Bei Auswahl dieser Option werden Biegespannungen oder -dehnungen (SB11, SB22 und SB12) für alle Spannungsberechnungen verwendet, einschließlich von Mises, Tresca, maximale und minimale Hauptspannung.
    • Membranspannung/-dehnung: Bei Aktivierung dieser Option werden die Membranspannungen oder -dehnungen aufgrund von Axialspannung (SM11, SM22) und Scherspannung (SM12) für alle Spannungsberechnungen verwendet, einschließlich von Mises, Tresca, maximale und minimale Hauptspannung.
  • Abschnitt Beidseitige Anzeige
    • Beide Seiten: Bei Auswahl dieses Optionsfelds werden die Spannungsergebnisse für die Vorderseite und Rückseite der Platte ausgegeben. Eine Seite weist möglicherweise Zugspannungen und die andere Druckspannungen auf. Wenn das Kontrollkästchen Rückseiten anzeigen aktiviert ist, werden die Ergebnisse von der gegenüberliegenden Seite aus der aktuellen Ansicht angezeigt.
    • Nur Oberseite: Bei Auswahl dieses Optionsfelds werden die Ergebnisse von der Oberseite der Plattenelemente immer angezeigt.
    • Nur Unterseite: Bei Auswahl dieses Optionsfelds werden die Ergebnisse von der Unterseite der Plattenelemente immer angezeigt.

Zusammengesetzte Elemente

Dieser Befehl ist nur für Strukturanalysen verfügbar. Bei Auswahl dieses Befehls wird das Dialogfeld Optionen dicke/dünne Verbundwerkstoffe aufgerufen.

  • Abschnitt Lage
    • Ergebnisse für Kernlage: Bei Auswahl dieser Option werden die Spannungsergebnisse für die Lage angezeigt, die auf der Registerkarte Allgemein des Dialogfelds Elementdefinition als Kernlage angegeben wurde. Diese Option ist nur für dicke Verbundwerkstoffelemente verfügbar.
    • Höchste Ergebnisse: Bei Auswahl dieser Option werden die Spannungsergebnisse für die höchste Lage angezeigt. Dies ist eine einfache Möglichkeit, die Position der höchsten Spannungen anzuzeigen, ohne zwischen allen Lagen wechseln und die Werte vergleichen zu müssen.
    • Ergebnisse für Lage Nr.: Bei Auswahl dieser Option können Sie die Lage angeben, für die Sie Ergebnisse anzeigen möchten. Sie müssen die Lage im Feld Lage angeben.
  • Abschnitt Dehnungsberechnung
    • Gesamtdehnung: Zeigt die Gesamtdehnung für die Verbundwerkstoffelemente an. Die Gesamtdehnung ist die Summe als mechanischer und thermischer (zu Beginn und bei der Aushärtung) Dehnung.
    • Mechanische Dehnung: Zeigt die mechanische Dehnung für Verbundwerkstoffelemente an. Die mechanische Dehnung ist eine elastische Dehnung aufgrund der Lasten, ggf. einschließlich Auswirkungen der Anfangsdehnung.
    • Anfangsdehnung: Zeigt die Anfangsdehnung für Verbundwerkstoffelemente an. Die Anfangsdehnung beinhaltet thermische Effekte aufgrund der Ausgangstemperaturlast und der thermischen Aushärtung. Als Anfangsdehnung wird die Dehnung verwendet, die durch die freie Ausdehnung der Platte unter Temperaturlast und Aushärtung erreicht wird.

Lokale Elementergebnisse verwenden

Dieser Befehl ist nur für Spannungsanalysen verfügbar. Bei Aktivierung dieses Befehls werden die Spannungs- und Dehnungstensoren in lokalen Elementkoordinaten angezeigt, wenn Sie Ergebniskonturen Spannung Tensor oder Ergebniskonturen Dehnung Tensor auswählen.

Bei der Anzeige von Ergebnissen in lokalen Elementkoordinaten, wird in der Legende für die X-Richtung 1, für die Y-Richtung 2 und für die Z-Richtung 3 angezeigt. Wenn Sie beispielsweise Ergebnisse: Spannung: Spannungstensor: XY auswählen, wird die Scherspannung im lokalen Koordinatensystem 1-2 angezeigt.

Tipp: Das lokale Elementkoordinatensystem kann auch in der Strukturansicht festgelegt werden. Klicken Sie mit der rechten Maustaste auf den Eintrag Element-lokal in der Kategorie Koordinatensystem. In der Strukturansicht können auch andere Arten von Koordinatensystemen definiert und für die Anzeige ausgewählt werden.

Die Richtung der lokalen Elementergebnisse hängt vom Elementtyp ab. Siehe folgende Tabelle und Abbildungen. In allen Abbildungen werden sowohl Elemente mit 3 Knoten als auch Elemente mit 4 Knoten angezeigt. Die Punkte auf den Seiten j-k und i-l befinden sich auf den Mittelpunkten der Kanten und dienen zur Definition der lokalen Achse 1 für die lineare Spannungsanalayse (oder der lokalen Achse a für Verbundwerkstoffelemente). Bei nichtlinearen Spannungen ist die lokale Achse 1 (oder die lokale Achse a für Verbundwerkstoffelemente) parallel zur Kante i-j. Die benutzerdefinierte Element-Knotennormale definiert die Richtung von Achse 3. Bei 2D-Elementen verläuft die lokale Achse 3 immer in die globale +X-Richtung. Die Rechte-Hand-Regel bestimmt dann die Richtung von Achse 2 (oder von der lokalen Achse b für Verbundwerkstoffe).

Tipp: Die Ausrichtung der Elemente kann in der Ergebnisanzeige dargestellt werden, indem Sie den Befehl Ergebnisoptionen Ansicht Elementausrichtung auswählen. Bei Verbundwerkstoffelemente zeigen die Elementausrichtungen die Achsen a-b-c. Bei allen anderen Elementtypen zeigen die Elementausrichtung die Achsen 1-2-3. Siehe die Abbildungen unten.
Elementtyp Lokale Elementergebnisse
Linear 2D Elementkoordinaten (1-2-3). Siehe Abbildung 1.
Lineare Membran Elementkoordinaten (1-2-3). Siehe Abbildung 2.
Lineares Gehäuse Elementkoordinaten (1-2-3). Siehe Abbildung 3.
Linearer und nichtlinearer Quader Globale Koordinaten (X-Y-Z).
Linearer und nichtlinearer Tetraeder Globale Koordinaten (X-Y-Z).
Lineare dicke oder dünne Verbundwerkstoffe Lagekoordinaten, Faser (1-2-3). Siehe Abbildung 4.
Nichtlineare 2D, Membran und Gehäuse Elementkoordinaten (1-2-3). Siehe Abbildung 5.
Nichtlineare Verbundwerkstoffe Lagekoordinaten, Layer oder Faser (1-2-3). Siehe Abbildung 6.
Tabelle 1: Richtung von lokalen Elementergebnissen

Abbildung 1: Lokale Elementergebnisse für lineare 2D-Elemente

Abbildung 2: Lokale Elementergebnisse für lineare Membranelemente

Abbildung 3: Lokale Elementergebnisse für lineare Plattenelemente

Abbildung 4: Lokale Elementergebnisse für lineare Verbundwerkstoffelemente in Richtung 1-2-3

Die lokalen Elementachsen (a-b-c) basieren auf den Seiten i-j-k-l. Die Schicht- oder Materialachsen (x-y-z) werden um α Grad um die Elementachsen (a-b-c) gedreht. (Die Materialachsen werden unter Elementdefinition auf der Registerkarte Allgemein festgelegt.) Die Lageachsen (1-2-3) werden um ϑ Grad um die Schichtachsen gedreht. Achse 1 ist parallel zu den Fasern für jede Lage. (Die Lageachse wird unter Elementdefinition auf der Registerkarte Laminat mithilfe der Option Ausrichtungswinkel festgelegt.)

Abbildung 5: Lokale Elementergebnisse für nichtlineare Elemente

2D, Membran und Gehäuse (Verbundwerkstoffe ausgenommen): Die lokale Achse 1 ist parallel zur Seite i-j.

Abbildung 6: Lokale Elementergebnisse für nichtlineare Verbundwerkstoffelemente in Richtung 1-2-3

Die lokale Elementachse a ist parallel zur Seite i-j. Die Schicht- oder Materialachsen (x-y-z) werden um b Grad um die Elementachsen (a-b-c) gedreht. (Die Materialachsen werden unter Elementdefinition auf der Registerkarte Allgemein festgelegt.) Die Lageachsen (1-2-3) werden um a Grad um die Schichtachsen gedreht. Achse 1 ist parallel zu den Fasern für jede Lage. (Die Lageachse wird unter Elementdefinition auf der Registerkarte Komposite mithilfe der Option Ausrichtungswinkel festgelegt.)

Anmerkung: Wenn der die Punktmethode zum Ausrichten der Materialachse bei nichtlinearen Elementen verwendet wird, berechnet der Gleichungslöser eine eindeutige Richtung für jeden Gaußschen Punkt in jedem Element. In der Ergebnisanzeige werden eine Richtung für jedes Elemente berechnet (basierend auf dem benutzerdefinierten Punkte und dem Zentroid des Elements) und die Ergebnisse von globalen und lokale Ergebnisse umgewandelt. Die lokalen Ergebnisse sind daher möglicherweise nicht genau auf die Materialien (oder Fasern bei Verbundwerkstoffelementen) ausgerichtet, je nachdem wie nah das Element an dem benutzerdefinierten Punkt liegt.

Ergebnisse für Gaußsche Punkte

Dieser Befehl ist nur für nichtlineare Analysen verfügbar und wird auf die Elementergebnisse angewendet (Spannung, Dehnung).

Bei Aktivierung wird das für den Gaußschen Punkt berechnete Ergebnis anstelle des Ergebnisses an dem Eckknoten angezeigt. (Nur die Gaußschen Punkte in unmittelbarer Nähe der Eckknoten werden angezeigt.)

Sichtbarkeit von Abhängigkeiten

Dieser Befehl ist nur für Strukturanalysen verfügbar. Hiermit können Sie die Begrenzungsbedingungen des Modells überprüfen, indem Sie Abhängigkeiten auf Grundlage der Verschiebungsrichtungen oder der eingeschränkten Freiheitsgrade (DOF) anzeigen. Wenn Sie genau die Freiheitsgrad-Kontrollkästchen aktivieren, die den durch eine Abhängigkeit eingeschränkten Freiheitsgraden entsprechen, wird für die Abhängigkeit ein Dreieck angezeigt. Wenn Sie nur einen Teil der Freiheitsgrad-Kontrollkästchen aktivieren, die den durch eine Abhängigkeit eingeschränkten Freiheitsgraden entsprechen, wird für die Abhängigkeit ein Kreis angezeigt. Wenn Sie keine Kontrollkästchen aktivieren, die einer Abhängigkeit entsprechen, wird kein Symbol für die Abhängigkeit angezeigt. Standardgemäß sind alle Kontrollkästchen aktiviert, sodass Abhängigkeiten, durch die alle verfügbaren Freiheitsgrade eingeschränkt werden, als Dreiecke angezeigt werden.

Anmerkung: Nur die Freiheitsgrade für den jeweiligen Elementtyp können angewendet werden. Wenn Sie beispielsweise einen Rotations-Freiheitsgrad auswählen, hat dies keine Auswirkungen auf Abhängigkeiten, die Quaderelementen zugeordnet sind, da diese keine Rotations-Freiheitsgrade aufweisen.

Beispiel: Eine Abhängigkeit weist eine feste Translation in X- und Y-Richtung auf, während für eine andere nur die X-Richtung fixiert ist. Wenn Sie nur das Kontrollkästchen für die Y-Translation auswählen, wird die erste Abhängigkeit als Kreis angezeigt und die zweite Abhängigkeit ausgeblendet. Wenn Sie dann zusätzlich die X-Translation auswählen, wird die erste Abhängigkeit als Dreieck und die zweite Abhängigkeit als Kreis angezeigt.