Profile ażurowe wytwarzane są przez zespawanie rozciętych podłużnie środników profili walcowanych (dwuteowników walcowanych dostępnych w bazach profili). Dostępne są dwa typy profili: - z otworami w kształcie sześciokąta - z otworami okrągłymi.
Pręty ażurowe mogą być wymiarowane jedynie według polskiej normy stalowej.
Dla profilu ażurowego można określić:
x = h + c dla otworów sześciokątnych
x = h + c + hs dla otworów sześciokątnych z podwyższeniem
x = H dla otworów okrągłych (H jest całkowitą wysokością przekroju określaną przez użytkownika)
|
otwory sześciokątne: c - podwyższenie przekroju w - odstęp między otworami, a - rozstaw otworów |
|
otwory sześciokątne z dodatkowym podwyższeniem: c - podwyższenie przekroju w - odstęp między otworami hs - wysokość dodatkowej wkładki a - rozstaw otworów |
|
otwory okrągłe: d - średnica otworów w - odstęp między otworami H - wysokość przekroju |
Charakterystyki geometryczne
Całkowita wysokość przekroju: h = h + C + h s
Pole przekroju dla przekroju pełnego
Ap = A + c * tw
Pole przekroju dla przekroju z otworem
Ao = A - c * tw
Pole przekroju poprzecznego teowego pasa (przekrój z otworem)
A = 0.5 * Ao
Pola przekroju czynne przy ścinaniu
Ay = 2 * bf * tf - pole przekroju półek
Az = tw * (h - 2 * tf - c) - pole przekroju środnika w najsłabszym przekroju - z otworem
Położenie środka ciężkości przekroju
vz = vpz = 0.5 * H
vy = vpy = 0.5 * bf
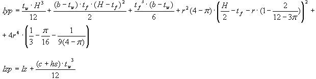
Momenty bezwładności odpowiednio względem osi Y i Z, przekroju złożonego z samych pasów:


Średnia arytmetyczna momentów bezwładności przekroju osłabionego i nieosłabionego

Moment bezwładności na skręcanie
Charakterystyki geometryczne
d - średnica otworów
w - odstęp między otworami
H - ‘nowa’ wysokość przekroju (całkowita wysokość przekroju podwyższonego)
Pole przekroju dla przekroju pełnego
Ap = A + (H - h) * tw
Pole przekroju dla przekroju z otworem
Ao = A + (H - h - d) * tw
Pole przekroju poprzecznego teowego pasa (przekrój z otworem)
A = 0.5 * Ao
Pola przekroju czynne przy ścinaniu
Ay = 2 * bf * tf - pole przekroju półek
Az = tw * (H - 2 * tf - d) - pole przekroju środnika w najsłabszym przekroju - z otworem
Położenie środka ciężkości przekroju
vz = vpz = 0.5 * H
vy = vpy = 0.5 * bf
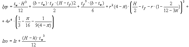
Momenty bezwładności odpowiednio względem osi Y i Z, przekroju złożonego z samych pasów
- dla przekroju pełnego

- dla przekroju z otworem

Średnia arytmetyczna momentów bezwładności przekroju osłabionego i nieosłabionego:

Moment bezwładności na skręcanie
Ciężar własny
Ponieważ profil ażurowy z otworami sześciokątnymi powstaje z profilu standardowego (o znanych parametrach) bez żadnych niemalże strat (jedynie końce profilu, które możemy zaniedbać), jego ciężar jest równy ciężarowi profilu wyjściowego. W przypadku dodatkowego podwyższenia przekroju należy dodać do niego ciężar wkładek:
G = g + Gs
g - ciężar dla profilu wyjściowego
gdzie:
h s *t w - pole przekroju wkładki
r s - ciężar właściwy stali
Zatem, ciężar własny
Ciężar właściwy profilu ażurowego z otworami okrągłymi należy obliczać jako ciężar profilu podwyższonego (o wysokości ‘H’) o pełnym przekroju, pomniejszony o ciężar otworów.
Ciężar dla profilu wyjściowego (z bazy): g
Ciężar dla profilu podwyższonego pełnego: g1 = g + rs * (H - h) * tw
Ciężar dla profilu ażurowego z otworami okrągłymi:
Profile ażurowe są dostępne także w bazach profili: