Przekroje z falistym środnikiem są to dwuteowniki o cienkościennych, faliście wyprofilowanych środnikach: - z rodziny przekrojów SIN - o wymiarach zdefiniowanych przez użytkownika.
Pręty o falistym środniku mogą być wymiarowane jedynie według polskiej normy stalowej.
Dla przekroju z falistym środnikiem można określić:
- z bazy: standardowe przekroje, o jednakowych półkach (b 1 =b2 2 , t f1 = t f2 ) i następujących symbolach grubości środnika:
Wszystkie wymiary są wymiarami z rodziny przekrojów SIN, dlatego też pola edycyjne do definicji wymiarów nie są dostępne.
- o wartościach zdefiniowanych przez użytkownika:
Całkowita wysokość przekroju: H = h + t f1 + t f2
Pole przekroju półek
Af = b1 * tf1 + b2 * tf2
Pole przekroju środnika
Aw = h * tw
Łączne pole przekroju
A = Af + Aw
Pola przekroju czynne przy ścinaniu
Ay = b1 * tf1 + b2 * tf2 - pole przekroju półek
Az = Aw * m / s - zredukowane pole przekroju środnika
Moment statyczny
S = b1 * tf1 * (h + tf2 + tf1 / 2) + b2 * tf2 * tf2 / 2
Położenie środka ciężkości przekroju

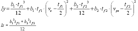
Momenty bezwładności odpowiednio względem osi Y i Z, przekroju złożonego z samych półek

Moment bezwładności na skręcanie
G= Gf +Gw
G f = r s * A f * l
Gw = r s * Aw * lw = r * Aw * l/m * s
gdzie:
A f - pole przekroju poprzecznego półek
A w - pole przekroju poprzecznego środnika
r s - ciężar właściwy stali
l - długość pręta
Iw - długość blachy środnika w rozwinięciu: lw = l / m * s
m - długość rzutu fali
s - długość rozwinięcia fali.