Obliczenia zbrojenia belki-ściany - zasady

Metoda obliczania belek-ścian jest oparta na następujących przedstawionych zasadach, jak zdefiniowano w dodatku E5 do francuskiej normy BAEL 91.

Następujące definicje symboli zostały przyjęte w opisie metody obliczania powierzchni zbrojenia dla belek-ścian:

lt

Długość belki-ściany w osiach podpór.

lo

Długość belki-ściany na licu podpór.

l

Obliczenie długości belki-ściany = min (lt; 1,15lo).

h

Wysokość belki-ściany.

bo

Szerokość belki-ściany.

z

Ramię sił wewnętrznych.

p

Obciążenie jednorodne, uwzględniające współczynniki obciążenia dla obciążenia stałego i zmiennego.

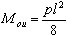
Moment pochodzący z obciążenia"p".

Siła ścinająca pochodząca z operacji obciążenia"p".

Naprężenie ścinające jest równe:

Patrz także

Minimalna grubość belki-ściany.

Obliczenia zbrojenia.