Opcja umożliwia szczegółową analizę prętów drewnianych. Analizę szczegółową pręta można uruchomić naciskając klawisz Szczegółowa znajdujący się w oknie dialogowym rezultatów szczegółowych dla normy EC5.
Program pozwala przeprowadzić dodatkowe obliczenia na podstawie wymogów opisanych w normie EUROCODE 5:
Program pozwala przeprowadzić dodatkowe obliczenia na podstawie wymogów opisanych w normie EUROCODE 5:
Każda z wymienionych analiz pręta prowadzona jest niezależnie, stąd też każda z nich może być uruchomiona osobno.
Okno dialogowe składa się z trzech zakładek:
Na długości belki zdefiniowane może zostać obciążenie poprzeczne. Po wyznaczeniu wartości współczynnika Kc,90 sprawdzany jest wartość naprężenia przy ściskaniu poprzecznym (patrz EC5 5.1.5).
Na długości belki zdefiniowane mogą zostać otwory; służą temu pola:
Położenie (należy podać położenie otworów na długości belki we współrzędnych rzeczywistych lub względnych) i
Średnica otworu. Na podstawie zdefiniowanych wartości średnicy otworów określana jest wartość współczynnika Khol:
Na długości belki zdefiniowane mogą zostać otwory; służą temu pola:
Położenie (należy podać położenie otworów na długości belki we współrzędnych rzeczywistych lub względnych) i
Średnica otworu. Na podstawie zdefiniowanych wartości średnicy otworów określana jest wartość współczynnika Khol:
jeżeli b < = 90 mm, to
gdy D/h <= 0,1 : Khol = 1-0,555 (D/h) 3
gdy D/h >0,1 : Khol = 1,62/ (1,8+D/h) 2
jeżeli b > 90 mm, to
gdy D/h <= 0,1 : Khol = (1-0,555 (D/h) 3 ) x (90/b) 2
gdy D/h >0,1 : Khol = (1,62/ (1,8+D/h) 2 x (90/b) 2
Po wyznaczeniu wartości współczynnika Khol sprawdzany jest warunek na ścinanie (patrz EC5 5.1.7).
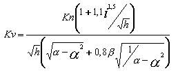
Na podstawie wartości parametrów geometrycznych zakończenia belki (dwie możliwości przedstawiono poniżej) wyznaczany jest współczynnik Kv z następującego wzoru:

gdzie:
i= Lb/(h-he) (i=0 dla pierwszego typu podparcia)
a= he/h
b=La/h.

Po wyznaczeniu wartości współczynnika Kv sprawdzany jest warunek na ścinanie (patrz EC5 5.1.7).
Na każdej z zakładek znajduje się opcja Uwzględnij w obliczeniach. Jeżeli ta opcja jest wyłączona, to analiza np. ścinania poprzecznego nie będzie wykonywana i nie będą dostępne żadne opcje na tej zakładce. Jeśli opcja Uwzględnij w obliczeniach jest włączona na którejś z zakładek, to analiza np. ścinania poprzecznego zostanie przeprowadzona po zdefiniowaniu kilku parametrów.
Po zdefiniowaniu parametrów dostępnych w oknie dialogowym i naciśnięciu klawisza Oblicz przeprowadzana jest dodatkowa analiza prętów drewnianych. Po jej zakończeniu uruchamiana jest notka obliczeniowa z wynikami wykonanych obliczeń.