Добавлять в проект кабельную сеть необязательно. Можно создавать цепи без кабельной сети; Revit сохраняет логическую информацию, связанную с цепью.
Создать постоянную кабельную сеть можно одним из двух описанных ниже способов.
 панели "Преобразование в провод". После создания постоянной кабельной сети она отображается на виде (в том случае, если цепь не выбрана).
панели "Преобразование в провод". После создания постоянной кабельной сети она отображается на виде (в том случае, если цепь не выбрана).  панель "Электротехника".
панель "Электротехника". Тип провода, используемого в цепи, указывается в свойствах цепи. См. раздел Свойства цепи.
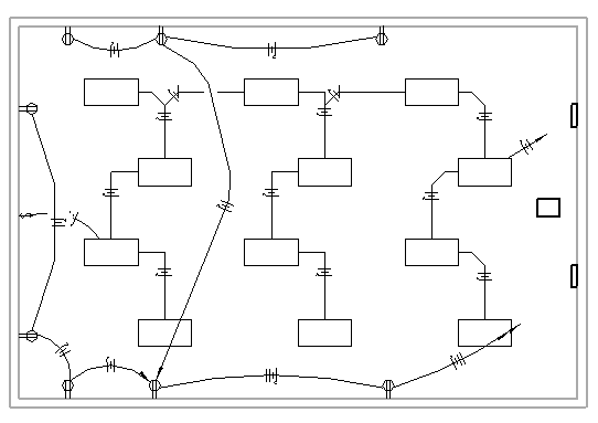
Преобразование временной цепи в постоянную кабельную сеть
Выбор типа кабельной сети для цепи
 или
 или  для создания дуговой кабельной сети.
 для создания дуговой кабельной сети. С помощью кабельной сети в виде дуг на чертежах часто показывают кабельную сеть, скрытую внутри стен, потолков или полов.
 или
 или  для создания кабельной сети со скругленными углами.
 для создания кабельной сети со скругленными углами. С помощью кабельной сети со скругленными углами на чертежах часто показывают открытую кабельную сеть.
В следующем примере дуговая кабельная сеть соединяет розетки, а кабельная сеть со скругленными углами — осветительные приборы.
