Зубчатые сечения формируются при помощи сварки продольно разрезанных стенок катанных профилей (двутавры доступны в базе данных). Существует два типа сечений перфорированная: с шестиугольная или со скругленными отверстиями.
Перфорированные элементы могут быть спроектированы только по польским стальным нормам.
Для зубчатых сечений задаются следующие параметры.
- x = h + c для шестиугольных сечений;
- x = h + c +hs для шестиугольных сечений с прокладкой;
- x = H для круглых отверстий (H – это общая длина сечения, заданная пользователем).
|
Шестиугольные отверстия: c – высота среза; w – расстояние между отверстиями; a - шаг отверстий. |
|
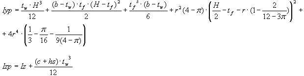
Шестиугольные отверстия с дополнительной прокладкой: c – высота среза; w – расстояние между отверстиями; hs – высота прокладки; a - шаг отверстий. |
|
Круглые отверстия: d – диаметр отверстий; w – расстояние между отверстиями; H – высота сечения. |
Геометрические характеристики
Общая высота сечения H = h + c + h s ;
Площадь поперечного сечения твердого тела
Ap = A + c * tw
Площадь поперечного сечения с отверстием
Ao = A - c * tw
Площадь поперечного сечения тавровой части сечения (сечение с отверстием)
A = 0.5 * Ao
Площади поперечных сечений на действие поперечного усилия
Ay = 2 * bf * tf – площадь поперечных сечений полок;
Az = tw * (h - 2 * tf - c) – площадь поперечного сечения стенки в ослабленном сечении – с отверстием;
Положение центра тяжести сечения
vz = vpz = 0.5 * H
vy = vpy = 0.5 * bf
Моменты инерции по Y и Z относительно сечения, составленного только из полок:


Среднеарифметические моменты инерции сечений, ослабленных или не ослабленных отверстиями:

крутящий момент инерции.
Геометрические характеристики
d – диаметр отверстий;
w – расстояние между отверстиями;
H - новая высота сечения (общая высота сечения с прокладкой);
Площадь поперечного сечения твердого тела
Ap = A + (H - h) * tw
Площадь поперечного сечения с отверстием
Ao = A + (H - h - d) * tw
Площадь поперечного сечения тавровой части сечения (сечение с отверстием)
A = 0.5 * Ao
Площади поперечных сечений на действие поперечного усилия
Ay = 2 * bf * tf – поперечные сечения полок;
Az = tw * (H - 2 * tf - d) – поперечное сечение стенки ослабленного сечения – с отверстием;
Положение центра тяжести сечения
vz = vpz = 0.5 * H
vy = vpy = 0.5 * bf
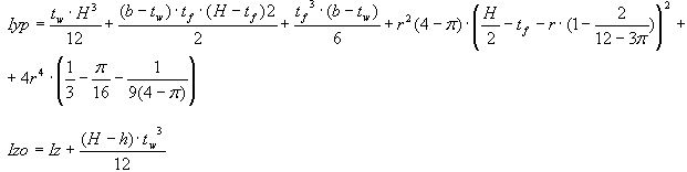
Моменты инерции по Y и Z относительно сечения, составленного только из полок:
сплошное сечение;

сечение с отверстием.

Среднеарифметические моменты инерции сечений, ослабленных или не ослабленных отверстиями:

Крутящий момент инерции.
Собственный вес
После того, как зубчатое сечение с шестиугольными отверстиями сделано из стандартного сечения (с известными параметрами) почти без потерь (только концы сечения, но ими можно пренебречь), их веса будут равны весу первоначального сечения. Если сечение включает дополнительные прокладки, то их вес должен будет быть добавлен к нему:
G = g + Gs
g – вес исходного сечения
где
h s *t w - площадь поперечного сечения прокладки;
r s - плотность стали;
Поэтому, собственный вес:
Собственный вес зубчатого сечения с круглыми отверстиями должен быть подсчитан как вес сечения с прокладкой (высоты 'H') сплошного поперечного сечения и уменьшенного весом отверстий.
Вес первоначального сечения (из базы данных):
Вес сплошного сечения с прокладкой: g1 = g + rs * (H - h) * tw;
Вес зубчатого сечения с круглыми отверстиями.
Зубчатые сечения также доступны в следующих базах данных: