尽管具有不同的拉伸性能和压缩性能,钢筋混凝土材料模型在统计学上仍被视为同类。它遵从涂抹式裂纹模型,通过积分点处弹性的衰减来模拟破裂和破碎过程,而不是通过跟踪各个宏观裂纹进行模拟。本文所述的模型用于相对单调的载荷。(真正单调的载荷可增可减,但不得反向。)在当前模型中,尽管破裂被认为最重要的方面,但还应合理考虑约束导致的压缩情况。
此外,钢筋混凝土的材料模型还采用弥散式钢筋方法。钢筋假定使用给定的体积分数分布(弥散)在整个单元中。钢筋的强度将加强指定方向上的混凝土。钢筋材料本身采用 von Mises 双线性等向强化的弹塑性材料模型。您可以定义三个独立的钢筋方向。
图 1 显示了普通混凝土的典型单轴行为。当混凝土以压缩形式加载时(点 3-2-1),它在达到屈服点(点 2)之前均呈弹性变化。该材料将对软化做出响应,并出现不可恢复的变形。达到峰值强度的破坏点(点 1)之后,材料将会受损,但理论上仍可承载部分载荷。目前,这种压缩软化效应不会通过分析加以建模,混凝土将视为受挤压,且随后无法再承载任何载荷。破坏之前的卸载被视为弹性行为,且遵循杨氏模量。
当混凝土以拉伸形式加载时,它在达到破坏强度(点 4)之前均呈弹性变化。对钢筋混凝土中各裂纹的载荷传递(拉伸硬化)进行建模时,受拉伸作用的破坏后行为(拉伸软化)非常重要。
 
图 1:普通混凝土的理想化单轴行为
在主应力空间中操作时十分便捷,该空间中的任何应力状态均由 Haigh-Westergaard 坐标 (x, r, q) 定义:
  (1)
 (1) 
其中,I1 = δijσij,J2 = 0.5SijSij,J3 = (SijSjkSki)/3,且 Sij = σij - (δijσkk)/3。
| 
 (a) 主应力空间 | 
| 
 (b) 主应力投影的应力平面 | 
| 图 2:Haigh-Westergaard 应力坐标 | 
该分析使用与 Hsieh-Ting-Chen (HTC) 四参数准则(参考文献 1)类似的破坏准则,但通过 William-Warnke 五参数准则(参考文献 2)的应力半径表示法引入依赖效应。
  (2)
 (2) 
  (3)
 (3) 
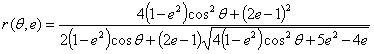
其中,ft' 和 fc' 分别是单轴拉伸和压缩强度(绝对值),e 是 Kang 和 Willam 定义的离心率:
  (4)
 (4) 
其中,c 0 是可通过实验校准的材料常数(在 Kang-Willam 准则(参考文献 5)中设置为 5.5)。等三轴拉伸强度 ζ 0 =sqrt(3)f t '。离心率 1 是应力平面中的圆(图 3),且破坏与 Lode 角 ϑ 无关。
屈服面的载荷假定为通过单个参数 k 从初始屈服面膨胀至最终破坏面的载荷。该参数的值介于 k 0 (在初始屈服点处)到 1(在破坏点处)之间。根据 Imran-Pantazopoulou 准则(参考文献 4),中间破坏面与静水轴的交点由另一术语确定。
  (5)
 (5) 
此外,该分析还通过引入拉伸截止(最大拉伸应力或兰氏温标准则),假定拉伸显著状态不存在屈服。在拉伸-压缩混合区域(参考文献 1)中,屈服面将逐渐发生变化。因此,破坏包络面是主应力空间中的开曲面,如图 3 中所示。如果存在主拉伸应力,则该分析始终假定破坏为破裂。由于混凝土无法使用复杂方法,从而导致某些研究无法区分破坏类型,因此这种假定未免有些武断。
| 
 (a) 混凝土的破坏包络面 | 
| 
 (b) 混凝土破坏包络面的应力视图 | 
| 图 3:破坏包络面 | 
为了简便起见,当混凝土主要承受压缩载荷时,我们使用关联的流动和双线性等向应变硬化。此方法可得出对称控制方程,且计算效率较高。但是,它通常会高估塑性体积应变。
在拉伸-压缩混合域(参考文献 1)中,屈服面将修改为在边界处与原点相切的表面(图 4)。
 
图 4:拉伸-压缩混合域中的屈服面
应力更新是通过全隐式 Backward Euler 返回映射方案完成的,该方案要求进行大量计算。
当至少一个主应力在破坏面拉伸时,我们便假定已出现破裂。该分析使用破坏弹性对破裂的混凝土进行建模。假定没有永久应变与裂纹相关。
为了克服与拉伸软化相关的网格敏感性,该分析假定断裂能(每单位面积)Gf 是材料属性。特定的断裂能(每单位体积)gf 与 Gf 相关,计算公式如下:
  (6)
 (6) 
其中,l* 是积分点处的特征长度或裂纹带宽(参考文献 6)。
剪力保持系数 b 由用户指定。值 1 表示极致粗糙的裂纹,其中剪切力将完整传递。值 0 表示极致平滑的裂纹,其中剪切力无法传递。与破裂相关的泊松比效应(侧向膨胀)将会忽略。裂纹闭合后,压缩应力可完整传递。
破坏面的定义中不包括与开口裂纹关联的应力分量,这样可进一步检测同一积分点处的破裂情况。
如上所述(方程 2,其中 ρ = 0),3 由等三轴状态确定。其他破坏面参数(a1、a2 和 c0)通过三种独立应力状态下的非线性方程(方程 2、3、4)求解得出。对于其他实验组合,用户必须先计算这些参数,然后再直接输入。
对于硬化参数(a4 和 k0),该分析假定非均匀加工硬化由其他硬化术语(方程 5)确定。为简便起见,假定硬化对有效塑性应变 ( ) 和静水压力 (ζ) 的依赖性可分离。有效塑性应变 (
) 和静水压力 (ζ) 的依赖性可分离。有效塑性应变 ( ) 仅影响硬化参数 k。因此,用户可以根据单轴压缩实验校准 a4 和 k(
) 仅影响硬化参数 k。因此,用户可以根据单轴压缩实验校准 a4 和 k( )。
)。