此材料模型适用于二维单元、块体单元和四面体单元。Blatz-Ko 材料模型涉及体积部件与非体积部件之间的强耦合,如体积模量,而体积模量不可以单独确定,这一点与其他超弹性材料模型不同。Blatz-Ko 材料属性将在下面列出。除了这些属性以外,可能还需要定义一些各向同性材料属性。
单击“单元材料定义”对话框上的“曲线拟合”按钮可使用曲线拟合程序。此程序可使用测得的应力-应变数据计算材料常数。
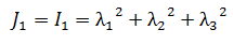
材料的位势函数如下所示:

其中
 
 
 
 
剪切模量
剪切模量 (μ)。
Alpha
Alpha (α) 是在推导应变能形式期间引入的材料常数。此值通过使用基于应力-应变曲线的曲线拟合算法派生得出。对于橡胶类材料,建议使用 α=1。例如,对于 Blatz-Ko 图纸中的聚氨酯橡胶,建议使用 µ=200711.2 Pa、α=1 和 β=13.3。
泊松比
材料的泊松比 (ν)。