此材料模型适用于二维、块体、四面体、膜和壳单元。Ogden 材料模型是一个具有三个材料常数的超弹性材料模型。按“单元材料定义”对话框的“曲线拟合”按钮,您便可以输入试验性的应力/应变数据,系统将根据输入的试验性应力/应变数据计算出这三个材料常数。该软件最多可支持六阶 Ogden 材料。Ogden 材料属性将在下面列出。除了这些属性以外,可能还需要定义一些各向同性材料属性。
单击“单元材料定义”对话框上的“曲线拟合”按钮可使用曲线拟合程序。此程序可使用测得的应力-应变数据计算材料常数。
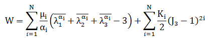
Ogden 材料的位函数如下所示:
 
如果 N=2、α1=2 且 α2=-2,则将获得 Mooney-Rivlin 材料模型。如果 N=1 且 α1=2,则 Ogden 模型将退化为 Neo-Hookean 材料模型。在 Ogden 形式中,初始剪切模量 µ0 取决于所有系数:
 
其中,μiαi > 0,i = 1...N
初始体积模量的形式如下:
k0 = K1
参考文献:
[1] R.W.Ogden et al, Fitting hyperelastic models to experimental data, Computational Mechanics 34 (2004) 484-502.
[2] L.R.G. Treloar, Stress-strain data for vulcanized rubber under various types of deformation, Trans.Faraday Soc.(40) 59-70.
材料属性: