Come modificare le equazioni di spiegatura personalizzate

Usare equazioni personalizzate per specificare esattamente la modalità di gestione dell'appiattimento delle zone di pieghe nei modelli piegati di parti in lamiera.

Le parti in lamiera vengono definite dal loro stato piegato o funzionale, ma vengono fabbricate a partire da un foglio piatto. Le pieghe appiattite per formare il modello piatto deformano il materiale nella zona di piega. La quantità di deformazione dipende da alcune variabili. La conversione del modello piegato allo stato appiattito richiede che tale deformazione venga tenuta in considerazione, mediante uno dei seguenti metodi:

Le equazioni personalizzate vengono definite in una regola di spiegatura con nome creata utilizzando la finestra di dialogo Editor stili e norme.

Compensazione piega

È possibile utilizzare l'equazione di compensazione della piega per determinare la lunghezza sviluppata totale:

dove:
  • . È la lunghezza sviluppata totale.
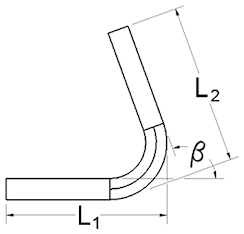
  • . È la lunghezza dalla prima faccia di dettaglio all'intersezione virtuale.
  • . È la lunghezza dalla seconda faccia di dettaglio all'intersezione virtuale.
  • . È il risultato del calcolo della tolleranza della piega. In Inventor, la tolleranza delle piega viene calcolata mediante le seguenti equazioni. Per gli angoli, dove , Inventor utilizza l'equazione , in cui:
    • . È l'angolo della piega.
    • . È la lunghezza della tolleranza della piega.
    • . È il raggio interno del lembo della piega.
    • . È lo spessore della lamiera.
    • . È il risultato del calcolo della tolleranza della piega.

L'espansione dell'equazione originale per includere il calcolo della tolleranza della piega determina:

Per gli angoli, dove , viene utilizzata la seguente equazione:

L'espansione dell'equazione originale per includere il calcolo della tolleranza della piega determina:

Una volta determinata la tolleranza della piega, il fattore K può essere derivato mediante:

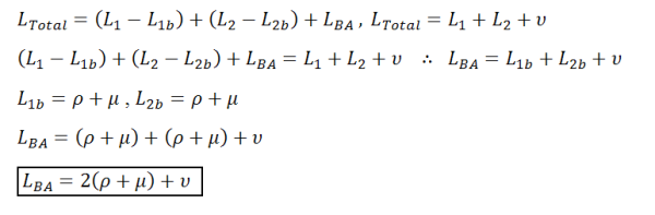
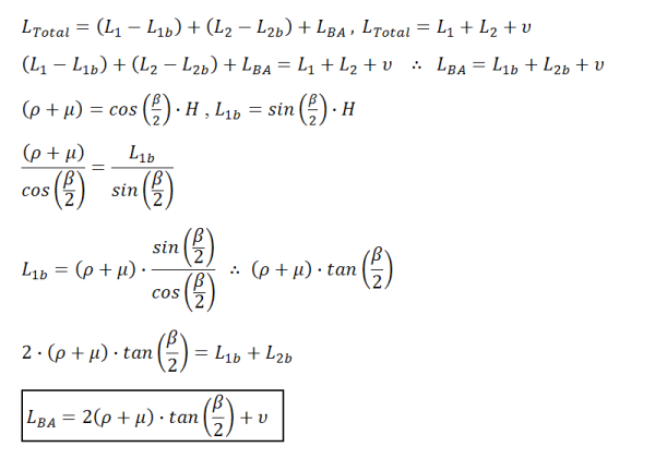
Detrazione piega

Utilizzare l'equazione di detrazione della piega per determinare la lunghezza sviluppata totale:

dove:
  • . È la lunghezza sviluppata totale.
  • . È la lunghezza dalla prima faccia di dettaglio all'intersezione virtuale.
  • . È la lunghezza dalla seconda faccia di dettaglio all'intersezione virtuale.
  • . È il risultato del calcolo della tolleranza della piega.

L'equazione di detrazione della piega offre un metodo di calcolo che è il diretto opposto del metodo di compensazione della piega.

Per la detrazione di pieghe in Inventor, la tolleranza delle piega viene calcolata mediante le seguenti equazioni.

Per gli angoli:

l'equazione è , dove:
  • . È l'angolo della piega.
  • . È la lunghezza della tolleranza della piega.
  • . È il raggio interno del lembo della piega.
  • . È lo spessore della lamiera.
  • . È il risultato del calcolo della tolleranza della piega.

Per gli angoli, dove , l'equazione usata è:

Tolleranza piega

Utilizzare l'equazione di tolleranza della piega per determinare la lunghezza sviluppata totale, dove:
  • . È la lunghezza sviluppata totale.
  • . È la lunghezza del primo lembo della piega.
  • . È la lunghezza del secondo lembo della piega.
  • . È il risultato del calcolo della tolleranza della piega.

Viene fornita un'equazione definita per risolvere direttamente la tolleranza della piega. Il fattore K può essere derivato dalla seguente equazione:

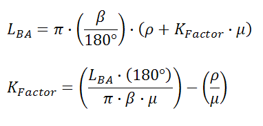
Fattore K

Per determinare la lunghezza sviluppata totale mediante il fattore K, viene usata la seguente equazione:

dove:
  • . È la lunghezza sviluppata totale.
  • . È la lunghezza del primo lembo della piega.
  • . È la lunghezza del secondo lembo della piega.
  • . È il risultato del calcolo della tolleranza della piega.

Per calcolare la tolleranza della piega viene usata la seguente equazione:

Modifica delle equazioni di spiegatura personalizzate

È possibile definire quattro tipi di equazioni personalizzate durante la modifica di una regola di spiegatura con nome.

Il tipo di equazione selezionato nella finestra di dialogo Editor stili e norme determina la variabile che definisce il lato sinistro dell'equazione. I tasti di inserimento di caratteri nella finestra di dialogo Modifica equazione consentono di inserire con un solo clic valori relativi ad angoli, raggi, spessore e pi greco.

Il tipo di variabile viene definito dal tipo di equazione selezionato nella finestra di dialogo Editor stili e norme prima di aprire la finestra di dialogo dell'Editor equazioni.

  1. Nella finestra di dialogo Editor stili e norme, se il metodo di spiegatura selezionato è Equazione personalizzata, fare doppio clic sulla cella Equazione personalizzata, a sinistra della condizione di ingombro per cui si desidera definire un'equazione personalizzata.
  2. Nella finestra di dialogo Modifica equazione, immettere l'equazione che definisce la variabile visualizzata all'esterno della casella di immissione dell'equazione:
    • . Inserisce la variabile misurata dell'angolo in un'equazione di spiegatura personalizzata.
    • . Inserisce la variabile misurata del raggio interno in un'equazione di spiegatura personalizzata.
    • . Inserisce la variabile misurata dello spessore in un'equazione di spiegatura personalizzata.
    • . Inserisce un valore matematico di pi greco in un'equazione di spiegatura personalizzata.
    • Il campo di immissione dell'equazione accetta l'immissione da tastiera per definire un'equazione di spiegatura personalizzata.
  3. (Facoltativo) Per modificare il tipo di variabile per cui viene definita l'equazione personalizzata, nella finestra di dialogo Editor stili e norme fare clic su Annulla e selezionare il tipo di equazione corretto.

Modifica delle condizioni di ingombro per le equazioni di spiegatura personalizzate

È possibile definire le equazioni di spiegatura per gli intervalli di angoli, raggi o spessori specificando le condizioni di ingombro mediante la finestra di dialogo Modifica ingombro.

  1. Se nella finestra di dialogo Editor stili e norme si seleziona Equazione personalizzata come metodo di spiegatura, a destra dell'equazione personalizzata per cui si desidera definire una condizione di ingombro fare doppio clic sulla cella Condizione di ingombro.
  2. Nella finestra di dialogo Modifica ingombro, riga superiore degli elenchi a discesa, selezionare gli operatori di uguaglianza e il tipo di intervallo per creare un'equazione che specifica l'intervallo per angolo, spessore o raggio.
  3. Nelle righe inferiori, nelle caselle a sinistra e a destra, immettere i valori per i limiti delle condizioni di ingombro.