대변형 응력 해석

실제로 대부분의 구조는 제한된 범위의 하중 강도에 대해서만 선형 또는 선형에 가까운 반응을 보입니다. 하중이 높을수록 구조의 강성이 현저하게 변경되어 비선형 반응을 보일 수 있습니다.

비선형에 대한 간단하지만 사실적인 그림에서는 상단(하단은 고정되고 상단은 자유로움)에서 수평력 H 및 하향 수직력 V가 적용된 L 길이의 얇은 기둥을 고려합니다. 끝의 작은 아래쪽 이동을 무시하는 이러한 하중 시스템의 1차 효과는 u라는 크기만큼 가로로 기둥의 상단을 변형하는 것입니다. 이제 이 변위된 구성에서 구조 및 하중을 고려하면 기둥 베이스의 벤딩 모멘트 M이 다음과 같다는 것을 바로 확인할 수 있습니다.

M = HL+Vu

M이 단순히 외부 하중에 대한 함수가 아니라 u에 따라서도 달라진다는 사실은 문제가 비선형이라는 것을 바로 보여줍니다. 분명히 구부러진 기둥에서 작용하는 수직 하중의 효과는 횡변위를 더 늘리는 것이므로 문제를 직접 해결할 수 없습니다. 그러나 적용된 하중 HV를 작은 증분으로 분할하고 하중을 필요한 레벨까지 점진적으로 형성하여 실제 솔루션에 가까이 접근할 수 있습니다.

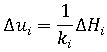
각각의 새 부하 증분이 적용되면 현재 변위된 구성에서 기둥 끝의 횡강성을 계산한 후 다음을 사용하여 u에서 해당 증분을 해석하여 찾을 수 있습니다.
여기서:
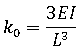
이제 Hi를 하중으로 사용하고 ui를 변위로 사용하는 하중 변형 그래프를 그리면 원점에서의 기울기가 끝의 초기 선형 강성 k0과 동일한곡선을 얻을 수 있습니다. 즉, 다음과 같습니다.
여기서 E는 탄성 계수이고 II는 영역의 2차 모멘트입니다. 하중이 증가하면 하중 변형 그래프의 기울기가 감소합니다. 이를 연화 반응(비선형 반응에 대한 하중-변위 플롯, 왼쪽)이라고 합니다. 일반적으로 하중이 이 예제에서처럼 압축 응력을 만드는 경우 비선형 반응은 연화 유형이 되지만 인장 응력(예: 끝이 자유롭게 안쪽으로 이동하지 않는 가로로 로드된 빔)을 만드는 경우 경화 반응(비선형 반응에 대한 하중-변위 플롯, 오른쪽)이 일반적으로 뒤따릅니다.


비선형 반응에 대한 하중-변위 플롯

.

왼쪽 연화 반응, 오른쪽 경화 반응, P 비선형 하중, ui 변위 플롯

위의 예제에서는 비선형 하중 변형 경로를 따르는 근사 방법을 사용했습니다. 이 방법에서는 매우 작은 단계만 수행해도 실제 또는 정확한 반응을 찾을 수 있습니다. 비선형 반응에 대한 보다 정확한 모델의 기반을 이해하려면 구조가 실제 하중 변형 경로의 각 점에서 평형 상태여야 함을 인식해야 합니다. 실제로 하중이 증가하면 구조에서는 평형만으로 고유하게 결정되는 연속 구성을 사용합니다. 이러한 이유로 하중-변위 공간에 그려진 모든 곡선을 보다 정확하게 평형 경로라고 합니다. 자유도가 많은 구조에서는 하중의 강도가 달라지면 강성 매트릭스의 다양한 계수가 서로 다른 속도로 달라집니다. 따라서 적용된 하중에 대해 다른 변위 성분을 플로팅하여 얻은 평형 경로가 매우 다르게 보일 수 있습니다. 전체(일반화된) 비선형 반응이 실제로 (N+1) 차원 하중-변위 공간에서 표면이 되기 때문에 외관상 플로팅에 적합한 성분의 임의 선택이 적용됩니다. 여기서 N은 구조의 자유 변위 자유도 수입니다.

평형 방정식

해석에 사용되는 대변형 해석 모델의 기반은 구조의 절점 자유도 전체 세트에 걸쳐 있는 증분 평형 방정식 세트입니다. 이러한 방정식은 다음과 같이 기록할 수 있습니다.
또는
여기서:
  • 는 현재 구성에 대한 선형 강성 매트릭스입니다.
  • 는 현재 구성에 대한 초기 응력 또는 지오메트리 강성 매트릭스입니다.
  • 는 증분 절점 변위의 벡터입니다.
  • 는 외부적으로 적용된 하중의 현재 레벨과 동등한 절점력의 벡터입니다.
  • 는 내부 응력 필드와 동등한 절점력의 벡터입니다.
  • 는 현재 구성에 대한 접선 강성 매트릭스입니다.
  • 는 현재 구성에서 잔류(불균형) 절점력의 벡터입니다.

이러한 방정식은 비선형이며 직접 해결할 수 없습니다. 대신 좌변은 예측 변수로 사용되고 우변은 수정자로 사용되는 고전적 예측 수정자 반복 기술(예: Newton-Raphson 또는 준 Newton)을 사용할 수 있습니다. 일반적인 성공 반복 사이클 중에는 구조의 구성이 실제 평형 구성으로 수렴되는 동시에 잔류 불균형 힘 는임의로 작아집니다. 실제로 반복은 목표 정확도(프로그램이나 사용자에 의해 정의됨)에 도달하면 종료됩니다. 평형 반복 중에는 하중 레벨이 일반적으로 일정하게 유지됩니다.

솔루션 방법

각 솔루션 단계에서 비선형 평형 방정식은 구조의 현재 구성을 기준으로 선형화됩니다. 연관된 선형화 오류로 인해 유한 요소 메쉬의 각 절점에서 잔류 불균형 힘이 발생합니다. 따라서 NR(Newton-Raphson) 유형의 반복에서는 이러한 불균형 힘을 허용 가능한 작은 값으로 줄여야 합니다. 이러한 공정을 평형 반복이라고 합니다. 전체 Newton-Raphson 알고리즘에는 각 반복 사이클이 시작될 때 전역 강성 매트릭스의 개정 및 인수 분해가 포함됩니다. 따라서 일반적으로 수렴 속도는 최적화되지만 비용이 많이 듭니다. 이러한 문제를 완화하기 위해 보다 비용 효율적인 여러 가지 전략을 사용할 수 있습니다. NR을 포함하여 총 6개의 이러한 전략을 해석에서 사용할 수 있습니다. 다음과 같은 전략입니다.
KSTRA=0: 초기 강성 방법

비용은 저렴하지만 단순한 이 방법에서는 초기 선형 탄성 상수 가 모든 부하 증분과 증분 내 각 반복 사이클에 사용됩니다(초기 강성 방법). 변위 증분의 예측이 항상 초기 지오메트리 기준으로 강성 매트릭스의 선형화를 기반으로 하므로 수렴이 매우 느릴 수 있으며 일반적으로 평형 경로에서 현저한 비선형이 발생하는 즉시 알고리즘이 실패하게 됩니다. 즉, 지정된 반복 횟수 내에서 수렴되지 않거나 확산됩니다.



초기 강성 방법

KSTRA=1: MNR(수정된 Newton-Raphson)

여기서는 각 부하 증분이 시작될 때, 즉 이전 단계(연화 구조에 대한 수정된 NR 방법경화 구조에 대한 수정된 NR 방법)가 끝날 때 얻은 평형 구성에서 구조 강성 매트릭스가 업데이트되고 인수 분해됩니다. 그런 다음 강성을 개정하지 않고 반복이 수행됩니다. 이 전략은 약간 비선형인 평형 경로의 제품에 적합합니다.



연화 구조에 대한 수정된 NR 방법



경화 구조에 대한 수정된 NR 방법

KSTRA=2: NR과 MNR의 조합

이 방법은 MNR 방법을 수정한 것으로 강성이 각 단계가 시작될 때 개정되고 인수 분해되며 첫 번째 반복 후 다시 개정되고 인수 분해됩니다(경화 구조에 대해 조합 방법). 이 알고리즘은 중간 비선형을 처리할 수 있습니다.



경화 구조에 대한 조합 방법

KSTRA=3: NR(Newton-Raphson)

이 경우 구조 강성 매트릭스는 각 반복 사이클이 시작될 때 업데이트됩니다(전체 NR 접근방식). 이 방법은 신속한(2차 접근) 수렴을 보여주며 강력한 비선형 및 평형 경로의 분기를 처리하는 데 적합합니다. 그러나 지정된 횟수만큼 반복되는 동안 지금까지 살펴본 다른 방법 중에서 가장 많은 시간이 소요됩니다.



전체 NR 접근방식

KSTRA=4: 단계가 감소된 NR(Newton-Raphson)

이 전략은 KSTRA=3과 동일하지만 KSTRA=3을 사용하여 수렴 문제가 발생하는 경우 순수한 NR 반복은 유지하면서 1/4의 단계 크기로 단계를 다시 수행하도록 도입되었습니다.

KSTRA=5: 하중 단계

이 방법에서는 평형 반복이 일시적으로 억제됩니다. 따라서 각 부하 증분에 대해 구조 강성의 개정 및 축소가 한 번만 요구되며 반복이 사용되지 않습니다(간단한 하중 단계). 실제 평형 경로에서 이동을 최소화하려면 부하 증분이 MNR 또는 NR에서 사용된 것보다 훨씬 작고 불균형 힘이 손실되지 않고 다음 단계로 전달되어야 합니다. 이 방법은 다른 모든 전략이 실패한 경우 최후 수단으로만 사용됩니다.



간단한 하중 단계

평형 경로에 제한점 및 분기가 포함될 수 있습니다. 이러한 점 근처에서는 구조 강성 매트릭스가 까다롭게 되어 NR 알고리즘도 실패할 수 있습니다. 그러나 이러한 경우 NR로 다시 되돌리기 전에 하중 단계를 사용하여 어려운 섹션을 연속적으로 가로지를 수 있습니다. 위의 모든 기술 구현에서 중요한 점은 지정된 단계가 끝날 때 남은 잔류 불균형 힘(0보다 큰 목표 공차를 설정해야 하기 때문에 0이 될 수 없음)이 항상 다음 단계의 시작 부분으로 전달된다는 점입니다. 이런 의미에서 자체 수정 방법입니다. 잔류 불균형 힘이 작다는 이유로 무시하는 방법에 비해 자체 수정 구조는 더 높은 정밀도를 제공하고 실제 솔루션 경로에서 멀리 이동하는 것이 늘어나지 않습니다. 처리되지 않은 잔류를 무시하면 공차에 종속된 오류가 발생할 뿐만 아니라 단계별로 누적됩니다. 23페이지의 평형 방정식 섹션에서 설명한 대로 성공적인 반복 사이클 동안에는 구조가 평형 구성에 적응되면 불균형 힘과 절점 변위의 반복적 변화가 0이 되는 경향이 있습니다. 따라서 반복 공정은 수렴 공차를 잔류력, 변위의 반복적 변화 또는 조합된(에너지) 측정에 적용하여 종료할 수 있습니다. 해석의 수렴은 다음과 같은 변위 기준을 기반으로 합니다.
여기에서 각 항목은 다음과 같습니다. 는 연속하는 두 반복 사이의 절점 변위 변화에 대한 유클리드 표준입니다. 즉, 다음과 같습니다.
그리고 는 현재 총 절점 변위에 대한 유클리드 표준입니다. 사용할 RTOL의 적절한 값은 문제에 따라 어느 정도 달라지지만 0.01에서 0.0001 사이의 범위에 있는 값은 적절한 정밀도를 제공할 것으로 예측할 수 있습니다.

자동 제어 기술

비선형 유한 요소 해석의 주요 문제 중 하나는 단일 반복 방법이 전체 솔루션 경로에 가장 적합하지 않다는 것입니다. 경로의 비선형이 보다 심각해지면 선택한 전략이 수렴되지 않아 이후 진행이 불가능할 수 있습니다. 다른 단계 크기 및/또는 다른 전략을 사용하여 실패한 단계를 다시 수행할 수 있는 자동 제어 시스템만 있으면 됩니다. 이러한 구조는 해석에서 사용할 수 있으며 사용자 작업 없이 자동으로 솔루션 경로를 추적할 수 있도록 하려는 경우 매우 성공적인 것으로 확인되었습니다. 구조의 피처는 다음과 같습니다.

  • 초기 최소 전략(일반적으로 KSTRA=1 또는 2) 및 초기 단계 크기를 선택합니다. 이 전략은 수렴 문제(있는 경우)가 발생될 때까지 유지됩니다.
  • 다음과 같은 경우 수렴 문제가 발생한 것으로 간주됩니다.
    • 허용된 최대 반복 횟수 Imax(기본값 또는 사용자가 지정) 내에서 수렴이 달성되지 않은 경우 또는
    • 솔루션이 확산되는 경우(분기 솔루션은 4 이상의 반복에 대해 현재 변위 증분의 표준 가 단계의 첫 번째 변위 증분의 표준 보다 큰 경우에 가정됩니다. 불균형 힘의 유클리드 표준은 적용된 하중의 유클리드 표준보다 큽니다.)
  • 솔루션 방법은 KSTRA의 증가하는 값 순서로 정렬됩니다. 수렴 문제가 발생하는 경우 프로그램에서 다음 상위 전략을 사용하여 단계를 다시 수행합니다. 동시에 단계 크기는 이전 값의 1/4로 줄어듭니다. 이제 새 전략은 추가 수렴 문제가 발생할 때까지 유지되며, 이 경우 다음 상위 전략이 선택되고 단계 크기는 다시 줄어듭니다.
  • 이 공정은 최대 단계 수에 도달하거나 하중이 허용되는 레벨을 초과할 때까지 계속됩니다. 이러한 변수는 모두 사용자가 조정할 수 있습니다.
  • 다음과 같은 경우 처음에 선택한 전략보다 높은 상위 전략이 사용 중이면 다음 하위 전략으로 돌아가려고 시도합니다.
    • 현재 전략의 네 개 단계(KSTRA = 1, 2, 3 또는 4)에 허용된 반복 횟수의 절반 이상이 필요하지 않은 경우 또는
    • 현재 전략(KSTRA = 5)이 네 번 사용된 경우

선택한 하위 전략이 실패하면 이후 네 개 증분에 이전 방법이 사용되지만 단계 크기가 추가로 줄어들지 않습니다.

제어 시스템의 또 다른 중요한 기능은 단계 크기 가 동적으로 조정되어 이전 단계에서 발생한 문제의 정도를 반영한다는 것입니다. 아이디어는 비선형이 증가하는 리전에서는 단계 크기를 줄이고 비선형이 감소하는 리전에서는 단계 크기를 늘리는 것입니다. 이를 달성하기 위해 다음과 같은 관계를 사용합니다.
여기서 는 이전 단계에서 사용된 반복 횟수이고, 는 최대 반복 횟수이며, 는 단계 크기 제한(사용자가 조정할 수 있음)입니다. 예를 들어 = 1, = 20, = 4 및 = 2이라고 가정하면 공식에서 현재 단계 크기가 임을 확인할 수 있습니다.

또한 수렴 실패가 발생하면 원래 단계 크기(즉, 실패한 증분에서 사용 중이던 단계 크기)가 복구되기 전에 각 단계에서 평균 4번 반복하여 네 단계를 수행한다는 것도 보여줍니다. 의 40%를 초과하면 비교적 느리지만 단계 크기가 축소됩니다.