Распределение усилий вследствие нагрузки, действующей параллельно поясу

Распределение усилий в сварных швах вследствие нагрузки, действующей перпендикулярно поясу

Распределение напряжений в продольных швах

Распределение напряжений в поперечных швах



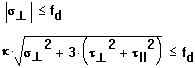
Формуля для равнодействующих напряжений в сварных швах (продольная 1, продольная 2, внутренняя поперечная 3, внешняя поперечная 4)

Условие прочности:
Еврокод:

PN:
