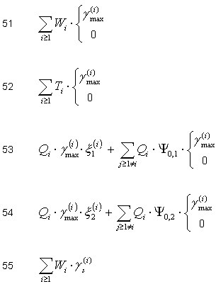
Временные нагрузки

0

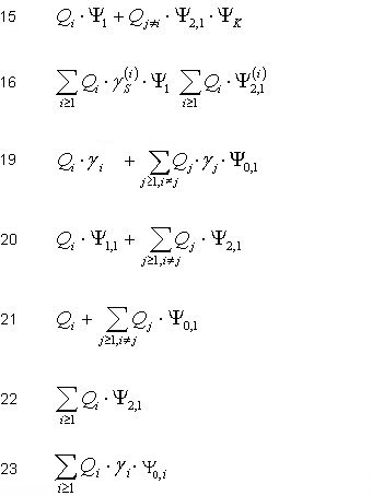
Нет правила. Используется, если не определено правило формулы сочетаний для заданного типа нагрузки.

Правило не распространяется на подтипы.

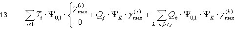
Прим.: В формуле допускается один коэффициент ψ 0,1 и один коэффициент ψ K для всех подтипов.
Прим.: В формуле допускается один коэффициент ψ 0,1 и один коэффициент ψ K для всех подтипов.
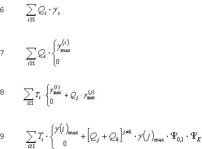
Прим.: В формуле допускается один коэффициент ψ 0,3 для всех подтипов.
Прим.: В формуле допускается один коэффициент ψ 0,3 и один коэффициент ψ K для всех подтипов.
Прим.: В формуле допускается один коэффициент ψ 0,1 и один коэффициент ψ K для всех подтипов.
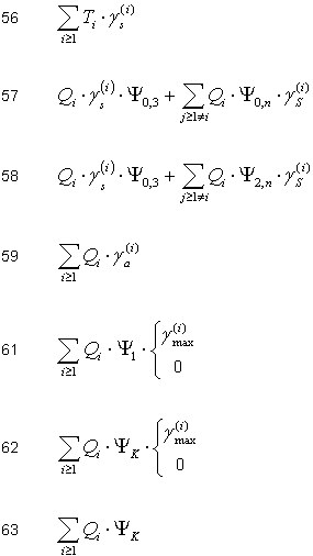
Прим.: В формуле допускается один коэффициент ψ 0,2 и один коэффициент ψ 2,n для всех подтипов.
Прим.: В формуле допускается один коэффициент y 0,3 и один коэффициент ψ 0,2 для всех подтипов.
Прим.: В формуле допускается один коэффициент ψ 0,3 и один коэффициент ψ 0,2 для всех подтипов.
Прим.: В формуле допускается один коэффициент ψ 0,3 и один коэффициент ψ 0,2 для всех подтипов.
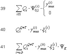
Прим.: В формуле допускается один коэффициент ψ K для всех подтипов.
Прим.: В формуле допускается один коэффициент ψ K для всех подтипов.
Прим.: В формуле допускается один коэффициент ψ K для всех подтипов.
Прим.: В формуле допускается один коэффициент ψ K для всех подтипов.
Прим.: В формуле допускается один коэффициент ψ для всех подтипов.
Прим.: В формуле допускается один коэффициент ψ для всех подтипов.
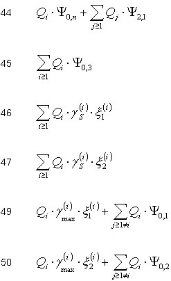
Прим.: В формуле допускается один коэффициент ψ K для всех подтипов.
Прим.: В формуле допускается один коэффициент ψ K для всех подтипов.
Прим.: В формуле допускается один коэффициент ψ K для всех подтипов.