Отображение списков любого типа элемента в проекте.
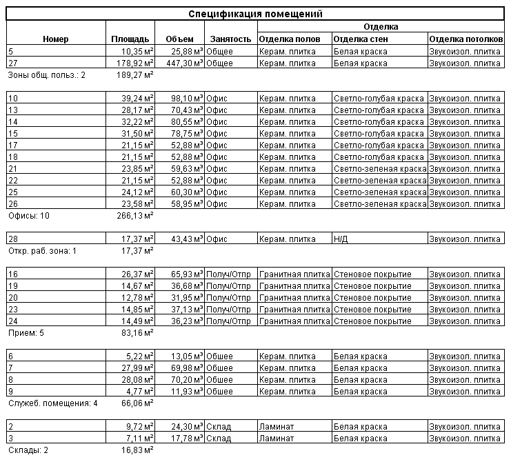
Спецификация — это таблица, в которой содержатся данные, извлеченные из свойств элементов проекта. Таблица спецификации может содержать список всех экземпляров выбранного типа элементов, либо несколько экземпляров могут быть помещены в одну строку на основе заданных критериев группирования.

Создавать спецификации можно в любой момент, по мере необходимости. Если в проект вносятся изменения, затрагивающие данные в спецификации, спецификация автоматически обновляется. Спецификации можно добавлять на чертежные листы.
Существует возможность экспорта спецификации в другие приложения, способные работать с электронными таблицами.
Все спецификации автоматически обновляются при внесении изменений в проект. Например, при перемещении стены значение площади в спецификации помещений обновляется соответствующим образом.
При изменении свойств компонентов здания в проекте соответствующая спецификация обновляется автоматически.
Например, можно выбрать в проекте дверь и изменить для нее свойство изготовителя. Это изменение отразится в спецификации дверей.
Можно создавать следующие типы спецификаций:
Внешний вид спецификации можно изменять. Моделирующие образцы можно выбирать и изменять следующим образом:
панель "Окна"
панель "Спецификация"