Van der Waals 材料属性

Van der Waals 材料模型是超弹性材料模型,适用于二维、块体和四面体单元。材料属性将在下面列出。

单击“单元材料定义”对话框上的“曲线拟合”按钮可使用曲线拟合程序。此程序可使用测得的应力-应变数据计算材料常数。

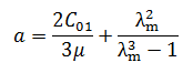
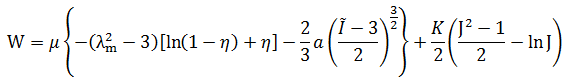
Van der Waals 材料的位函数如下所示:

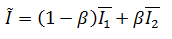
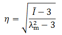
其中

材料属性: