超弹泡沫材料属性

此材料模型适用于二维单元、块体单元和四面体单元。超弹泡沫材料模型是用于表示压缩性的超弹性材料模型,它有三个材料常数。按“单元材料定义”对话框的“曲线拟合”按钮,您便可以输入试验性的应力/应变数据,系统将根据输入的试验性应力/应变数据计算出这三个材料常数。超弹泡沫材料属性将在下面列出。除了这些属性以外,可能还需要定义一些各向同性材料属性

单击“单元材料定义”对话框上的“曲线拟合”按钮可使用曲线拟合程序。此程序可使用测得的应力-应变数据计算材料常数。

材料的位势函数如下所示:

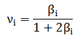
如果 βi > -1/3,则将获得稳定材料。βi 与泊松比相关,表达式如下:

,

初始剪切模量的计算公式为:

其中,μiαi > 0,i = 1...N

初始体积模量的形式如下:

Mu

这是第一个超弹泡沫材料模型常数 (μi)。对于使用的超弹泡沫材料模型的每个阶次,必须定义此常数。

Alpha

这是第二个超弹泡沫材料模型常数 (αi)。对于使用的超弹泡沫材料模型的每个阶次,必须定义此常数。

Beta

如上所示,Beta (β) 是一个与泊松比 (ν) 相关的常数。