在「物理屬性」表單中的「類型」下方,選取「薄殼元素」選項。
- 關聯的幾何圖形:選擇要套用物理屬性性質的面。當「關聯的幾何圖形」選項未啟用時,物理屬性會套用至整個模型 (所有面)。選擇以下其中一個選項按鈕:
- 四邊形:為所有零件的所有面產生四邊形元素。
- 三角形:為所有零件的所有面產生三角形元素。
或者,您也可以啟用「關聯的幾何圖形」選項,為零件或組合內的個別面定義唯一的物理屬性性質。
選取面之前...
- 按一下「選取的四邊形」方塊,然後選取所需的面。選取的面會列示在「選取的四邊形」方塊中,而且會使用四邊形薄殼元素建立網格。
- 按一下「選取的三角形」方塊,然後選取所需的面。選取的面會列示在「選取的三角形」方塊中,而且會使用三角形薄殼元素建立網格。如果您在實體 (四面體) 元素零件的面上建立一層薄殼元素,此選項會非常有用,能讓薄殼和實體網格相符。
- 使用垂直箭頭按鈕,可將所選項目從一個清單移動到另一個清單,或者可交換兩個方塊的內容。
- 包括鑽孔自由度 (CQUADR/CTRIAR):如果未啟用此選項,薄殼元素支援五個自由度 (DOF)—三個平移和兩個沿平面內軸 (彎曲扭曲) 的旋轉。不直接支援正垂直 (鑽孔) 軸的旋轉自由度,但是包括一些剛性 (由參數 K6ROT 控制)。
如果您想要直接考慮垂直節點旋轉,或者如果您需要沿元素平面的垂直軸傳送力矩,請啟用「包括鑽孔自由度 (CQUADR/CTRIAR)」選項。垂直節點力矩會產生角點和邊中節點的平面內轉換。當您包括鑽孔自由度時,效果通常更準確。指定此選項的時機為:
- 塑型彎曲的薄殼
- 將樑、柱或桿元素貼附至薄殼
- 搭配薄殼使用剛性元素,並且具有所有 6 個相依的自由度
使用「包括鑽孔自由度 (CQUADR/CTRIAR)」選項時,應遵循以下指導方針:
- 模型中至少必須有一個格線點約束鑽孔自由度,這不是針對彎曲自由度的狀況。套用邊界條件時,使用者必須考慮鑽孔自由度 (亦即如果您想要讓某個邊保持直線,您應該約束鑽孔自由度)。這也適用於邊負載。
- 請勿過度約束鑽孔自由度 (亦即,不要在模型中約束所有鑽孔自由度)。
薄殼元素有兩種主要選項可用—「標準」和「層壓板」。
-
標準:
- 厚度 (T):將會平均分佈在表面兩側的薄殼元素厚度。
- NSM:將用於計算中的薄殼元素非結構質量。
- 四邊形薄殼元素材料的座標系統定義:
- 四邊形薄殼元素幾何圖形和座標系統:
- 四邊形薄殼元素中的力:
- 四邊形薄殼元素中的力矩:
- 四邊形薄殼元素中的應力:
- 三角形薄殼元素的材料座標系統定義:
- 三角形薄殼元素的元素幾何圖形和座標系統:
- 進階選項:可讓您定義的其他性質,如以下所述。
- 應力恢復:可讓您定義頂部和底部纖維距離以進行應力計算。它使用右手規則與連接項目上格線點的列示順序,以決定正方向。
- 底部纖維距離:可讓您定義從格線點表面到元素參考平面的偏移距離。當顯示斷面功能開啟時可看見此距離。
- 使用平面應變元素類型:可讓您將一般薄殼元素移動到平面應變元素。當勾選此選項時,彎曲和薄膜性質 (如橫向剪切和薄膜厚度的比率等) 以及其各自的材料性質都會因為不適用而停用。
-
層壓板:
- 「層壓板」選項可讓您定義複合層壓板性質。按一下「新層壓板」按鈕。「層壓板」對話方塊即會開啟。
- 「層選項」可讓您:
- 加入:加入層。
- 材料:定義新材料。
- 整體層:如下圖所示定義整體層。
- 上:將選取的層移至上一個步驟。
- 下:將選取的層移至下一個步驟。
- 對稱:建立選取之一個或多個層的對稱層。
- 反對稱:建立選取之一或多個層的反對稱層。
- 退回:退回執行的作業。
- 重做:重做執行的作業。
- 刪除:刪除選取的一或多個層。
- 剪下:剪下選取的一或多個層。
- 複製:複製選取的一或多個層。
- 貼上:貼上已剪下或複製的一或多個層。
- 匯入:匯入 CSV 格式的層詳細資料。
- 匯出:匯出 CSV 格式的層詳細資料。
- 重複:允許您建立用於選取之一或多個層的多個層。
- 使用整體層:可讓您啟用整體層欄。
- 材料層合板:可讓您將「材料層合板底部」翻轉為「材料層合板頂部」。它可在視覺上翻轉層。匯出的 Nastran 檔案永遠為材料層合板底部格式。
- 按一下「層選項」中的「加入」以開始第一個層定義。此層將會是材料層合板的最底層。
- 層 ID:每個複合層 (圖層) 都具有唯一的 ID。在此對話方塊中建立這些層時,會由 Autodesk Nastran In-CAD 自動產生這些 ID。您無法變更這些 ID。
- 材料:每個層都可以具有不同的材料。若要從該下拉式功能表選取材料,則應於 「材料」之下預先定義。
- 厚度:每個層都可以有自己的厚度值。
- 角度:這是層方位角度。這是相對於材料方位角度所測量的角度。零角度層會與材料方位對齊。
- 應力/應變:可將其設定為「開啟」或「關閉」以控制每個層的應力輸出。
-
層壓板性質:
- 層壓板選項:可讓您定義不同形式的層壓板,例如 SYM、HCS、FCS、ACS、SME 或 SMC。
- 如果 LAM = SYM,則僅指定元素中心線一側的層。這些層會從底層由 1 開始編號。如果需要奇數的層且 LAM = SYM,則中心層厚度 (Ti) 應為實際厚度的一半。
- 如果 LAM = HCS、LAM = FCS 或 LAM = ACS,則會基於面圖紙穩定性索引輸出的原因而定義複合夾板。HCS 會指定蜂窩公模仁材料、FCS 指定成形公模仁材料,ACS 則會根據指定的公模仁材料選取 HCS 或 FCS。
- 如果 LAM = SME,則會塗抹層效果並忽略堆疊順序。如果 LAM = SMC,則會使用對等正交性性質定義複合夾板。
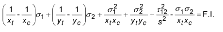
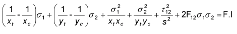
- 失效理論:層失效理論。以下理論是允許的。如果為空,則不會執行失效計算。Hill 已設為預設的失效理論。
- HILL 為 Hill 理論。
正交性材料具有相等的張力和壓縮強度。
- HOFF 為 Hoffman 理論。
平面應力一般狀態下的正交性材料應力,其抗拉強度和壓縮強度並不相等。
- TSAI 為 Tsai-Wu 理論。
平面應力一般狀態下的正交性材料應力,其抗拉強度和壓縮強度並不相等。
- Max Stress 為最大應力理論。
- Max Strain 為最大應變理論。
- LARC02 為 NASA LaRC 理論。
平面應力一般狀態下的正交性材料由單向層所組成。若要取得更多詳細資料,請參閱《Autodesk Nastran 使用手冊》的〈參考 5〉。
- PUCK 為 Puck PCP 理論。
平面應力一般狀態下的正交性材料由單向層所組成。若要取得更多詳細資料,請參閱《Autodesk Nastran 使用手冊》的〈參考 12〉和〈參考 13〉。
- MCT 為多重連續理論。
平面應力一般狀態下的正交性材料由單向層或純織物纖維所組成。若要取得更多詳細資料,請參閱《Autodesk Nastran 使用手冊》的〈參考 20〉、〈參考 21〉和〈參考 22〉。
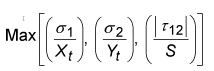
- 強度比率:它可控制 Tsai 強度比的輸出,並取代複合元素層結果輸出的失效索引。在設定為「開啟」時,它可讓您定義參數 PARAM、STRENGTHRATIO、ON,並計算 Tsai 強度比率。一般認為強度比率比失效索引更為有用,因為它可精確地指出如何變更套用的負載以達到最佳層效能。
- 容許的連接剪應力:此值可定義連接材料的層間剪應力。您將需要此值以取得連接失效索引輸出。
- 底部纖維距離:依預設表示總厚度的一半。您可以勾選左邊的方塊並將新值輸入右邊的方塊以變更該值。
- GE (阻尼係數): 此值可定義結構元素阻尼係數,並且是在動態分析中使用之臨界阻尼比率
的兩倍。已規劃在更高版本中支援。
- NSM:可讓您定義每單位面積的非結構質量。
(參考溫度):此值可定義要用於依溫度而定之材料性質的複合層 (所有層) 參考溫度。更高版本將支援此功能。
(總厚度):它將展示層壓板中指定的總厚度。
-
層建立技術:
- 提供多種定義不同層性質的便利方式。
- 在第一列中,可按一下「加入」,按一下該列的「材料」 欄,選取一種材料。然後系統會自動載入其餘欄的預設值。
- 現在可以選取層 ID 1。
- 當重複按鈕旁邊的方塊中為 2 時 (預設值為 1),按一下「重複」按鈕。第一列會複製兩次。下圖說明產生的結果。
- 變更角度為 45、0 和 -45 (從上到下)。
- 現在,選取所有層。然後按一下「對稱」按鈕。
- 這將產生所選層的鏡射列。
- 下圖說明產生的結果。
- 同樣地,「反對稱性」也會產生鏡射的列,但層角度的符號相反。
- 您可以選取多個層,然後在欄位上按一下滑鼠右鍵以變更。然後選取「編輯」。
- 變更任何層的個別性質。所有對應的性質將會立即變更。
-
「層壓板」對話方塊範例: