Les coupes avec une âme ondulée sont des sections en I avec âmes ondulées à paroi fine. Il s’agit de sections de la famille SIN ou avec des dimensions définies par l’utilisateur.
Les barres à âme ondulée ne sont conçues que d’après la norme d’acier polonaise.
Les paramètres suivants définissent une coupe avec une âme ondulée :
- depuis la base : sections standard avec ailes identiques (b 1 =b 2 , t f1 = t f2 ) et les symboles suivant définissant l'épaisseur de l’âme :
Toutes les dimensions appartiennent à la famille des sections SIN, c’est pourquoi les champs d'édition ne sont pas disponibles.
- aux dimensions définies par l’utilisateur :
Hauteur totale de la section : H = h + t f1 + t f2
Aire de la section transversale des ailes
Af = b1 * tf1 + b2 * tf2
Aire de la section transversale de l'âme
Aw = h * tw
Surface totale de la section
A = Af + Aw
Aires des sections transversales efficaces au cisaillement
Ay = b1 * tf1 + b2 * tf2 - aire de la section transversale des ailes
Az = Aw * m/s - aire de la section transversale réduite de l'âme
Moment statique
S = b1 * tf1 * (h + tf2 + tf1 / 2) + b2 * tf2 * tf2 / 2
Position du centre de gravité de la section

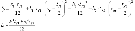
Moments d'inertie respectifs par rapport aux axes Y et Z pour une section composée uniquement d'ailes

Moment d’inertie en torsion
G = Gf + Gw
G f = r s * A f * l
Gw = r s * Aw * lw = r * Aw * l / m * s
où :
A f - Aires de la section transversale des ailes
A w - Aire de la section transversale de l'âme
r s - Poids unitaire de l'acier
l - Longueur de la barre
Iw - Longueur développée de l'âme plate : lw = l / m * s
m - longueur de la projection de l'onde
s - Longueur de l'onde développée.