[理想化]フォームの[タイプ]で[シェル要素]オプションを選択します。
- [関連ジオメトリ]: 理想化特性を適用する 1 つまたは複数の面を選択します。[関連ジオメトリ]オプションがアクティブになっていない場合は、理想化がモデル全体(すべての面)に適用されます。次の 2 つのラジオ ボタンのうち 1 つを選択します。
- [四角形]: すべてのパーツのすべての面に対して四辺形要素を生成します。
- [三角形]: すべてのパーツのすべての面に対して三角形の面を生成します。
または、[関連ジオメトリ]オプションをアクティブにして、パーツまたはアセンブリ内の個々の面に対して一意の理想化特性を定義します。
面を選択する前に...
- [選択した四角形]ボックス内をクリックし、目的の面を選択します。選択した面が[選択した四角形]ボックスに一覧表示され、四辺形シェル要素によるメッシュが生成されます。
- [選択した三角形]ボックス内をクリックし、目的の面を選択します。選択した面が[選択した三角形]ボックスに一覧表示され、三角形シェル要素によるメッシュが生成されます。このオプションは、シェルとソリッド メッシュが一致するように、ソリッド(四面体)要素パーツの面上にシェル要素のスキンを作成する場合に便利です。
- 選択した項目をリスト間で移動する場合や、2 つのボックスの内容を入れ替える場合は、垂直矢印ボタンを使用します。
- [ドリル自由度を含む(CQUADR/CTRIAR)]: このオプションがアクティブになっていない場合、シェル要素では 5 つの自由度、つまり、2 つの面内軸(曲げひずみ)を中心とする 3 つの並進および回転がサポートされます。法線方向の(ドリル)軸を中心とする回転自由度は直接はサポートされていません。ただし、ある程度の剛性が含まれています(K6ROT パラメータによってコントロールされます)。
[ドリル自由度を含む(CQUADR/CTRIAR)]オプションは、法線方向の節点回転を直接考慮する場合や、要素の面に対して法線方向の軸を中心としたモーメントを伝達する必要がある場合にアクティブにします。法線方向の節点モーメントでは、コーナーの面内並進と中間節点が生成されます。この効果は、ドリル自由度を含めると、通常はより正確になります。次の場合にこのオプションを指定してください。
- 曲面シェルをモデリングする
- ビーム、バー、またはロッド要素をシェルにアタッチする
- 剛体要素をシェルと一緒に使用し、6 つすべての自由度に依存するようにする
[ドリル自由度を含む(CQUADR/CTRIAR)]オプションを使用する場合は、次のガイドラインに従ってください。
- モデル内の少なくとも 1 つのグリッド ポイントでドリル自由度を拘束する必要があります(曲げ自由度の場合を除く)。境界条件を適用する場合はドリル自由度を考慮する必要があります(つまり、エッジを直線に維持する必要がある場合は、ドリル自由度を拘束してください)。これは、エッジ荷重にも適用されます。
- ドリル自由度を過度に拘束しないでください(つまり、モデル内のすべてのドリル自由度を拘束しないでください)。
シェル要素には[標準]と[積層]の 2 つの主要なオプションがあります。
-
[標準]:
- [厚さ(t)]: 表面の両側に均等に分散されるシェル要素の厚さです。
- [NSM]: シェル要素の非構造質量を計算に使用します。
- 4 角形シェル要素の材料座標系定義:
- 4 角形シェル要素形状と座標系:
- 4 角形シェル要素の力:
- 4 角形シェル要素のモーメント:
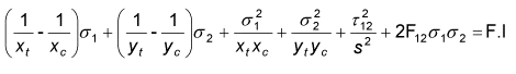
- 4 角形シェル要素の応力:
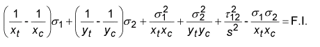
- 3 角形シェル要素の材料座標系定義:
- 3 角形シェル要素形状と座標系:
- [高度なオプション]: 下記に示す追加のプロパティを定義できます。
- [応力回復]: 応力計算の上部および底部繊維の距離を定義できます。右手の法則、および接続エントリでのグリッド ポイントの順序を使用して、正方向を決定します。
- [底部繊維の距離]: グリッド ポイントの表面から要素の参照平面までのオフセット距離を定義できます。これは、断面の表示をオンにすると表示されます。
- [平面ひずみ要素タイプを使用]: 通常のシェル要素を平面ひずみ要素に変えることができます。これをオンにすると、曲げと膜の特性(横断せん断比や膜厚さなど)やそれぞれの材料特性が適用できないため無効になります。
-
[積層]:
- [積層]オプションでは、複合材料の積層特性を定義できます。[新しい積層]ボタンをクリックします。[積層ダイアログ ボックス]が開きます。
- [層オプション]では次を実行できます。
- [追加]: 層を追加します。
- [材料]: 新しい材料を定義します。
- [グローバル層]: 下の図に示すように、グローバル層を定義します。
- [上へ]: 選択した層を 1 ステップ上に移動します。
- [下へ]: 選択した層を 1 ステップ下に移動します。
- [対称]: 選択した層(1 つまたは複数)の対称を作成します。
- [反対称]: 選択した層(1 つまたは複数)の反対称を作成します。
- [元に戻す]: 実行した操作を元に戻します。
- [やり直し]: 実行した操作をやり直します。
- [削除]: 選択した層(1 つまたは複数)を削除します。
- [切り取り]: 選択した層(1 つまたは複数)を切り取ります。
- [コピー]: 選択した層(1 つまたは複数)をコピーします。
- [貼り付け]: 切り取りまたはコピーした層(1 つまたは複数)を貼り付けます。
- [インポート]: csv フォーマットで層の詳細をインポートします。
- [エクスポート]: csv フォーマットで層の詳細をエクスポートします。
- [繰り返し]: 選択した層(1 つまたは複数)に複数の層を作成できます。
- [グローバル層を使用]: グローバル層列を有効にできます。
- [レイアップ]: 層を[底部のレイアップ]から[上部のレイアップ]に反転できます。これは層を視覚的に反転します。Nastran ファイルのエクスポートでは、常に底部のレイアップ フォーマットになります。
- [層オプション]で[追加]をクリックして、最初の層の定義を開始します。この層は、レイアップの一番下の層になります。
- [層 ID]: 複合材料の各層(レイヤ)には一意の ID があります。このダイアログ ボックスで層が作成されると、これらの ID は Autodesk Nastran In-CAD で自動的に生成されます。これらは変更できません。
- [材料]: 各層は異なる材料を設定できます。このプルダウン メニューから材料を選択するには、[材料]で事前に定義しておく必要があります。
- [厚さ]: 各層には独自の厚さ値を設定できます。
- [角度]: これは層の方向角です。この角度は、[材料方向]角度を基準に計測されます。ゼロ角度層は、材料方向に一致していることを示します。
- [応力/ひずみ]: これをオンまたはオフに設定することで、各層の応力出力をコントロールできます。
-
[積層特性] :
- [積層オプション]: [SYM]、[HCS]、[FCS]、[ACS]、[SME]、[SMC]などの積層の異なるフォームを定義できます。
- [LAM = SYM]の場合、要素の中心線から片側にある層のみが指定されます。層は底部のレイヤから順番に 1 から始まる番号が付けられます。[LAM = SYM]で層の奇数番号を希望する場合、中心の層の厚さ(Ti)には、実際の厚さの半分を指定する必要があります。
- [LAM = HCS]、[LAM = FCS]、または[LAM = ACS]である場合、複合材料サンドイッチが表面板の安定性インデックス出力用に定義されます。[HCS]はハニカム コア材料を指定し、[FCS]はフォーム コア材料を指定し、[ACS]は指定したコア材料に基づいて[HCS]または[FCS]のいずれかを選択します。
- [LAM = SME]である場合、層効果は不鮮明になり、積層シークエンスは無視されます。[LAM = SMC]である場合、複合材料サンドイッチは、同等の直交異方性特性を使用して定義されます。
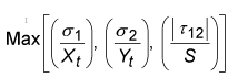
- [破壊理論]: 層破壊理論です。次の理論が許可されています。空白にすると、破壊計算は実行されません。[Hill]が既定の破壊理論として設定されます。
- [HILL]は Hill 理論用です。
同じ強度の引張と圧縮を持つ直交異方性材料。
- [HOFF]は Hoffman 理論用です。
異なる強度の引張と圧縮を持つ平面応力の通常の状態での直交異方性材料。
- [TSAI]は Tsai-Wu 理論用です。
異なる強度の引張と圧縮を持つ平面応力の通常の状態での直交異方性材料。
- [最大応力]は最大応力理論用です。
- [最大ひずみ]は最大ひずみ理論用です。
- [LARC02]は NASA LaRC 理論用です。
平面応力の通常の状態で 1 方向の層で構成される直交異方性材料。詳細については、『Autodesk Nastran ユーザ マニュアル』、参照 5 を参照してください。
- [PUCK]は Puck PCP 理論用です。
平面応力の通常の状態で 1 方向の層で構成される直交異方性材料。詳細については、『Autodesk Nastran ユーザ マニュアル』、参照 12 と 13 を参照してください。
- [MCT]は多重連続体理論用です。
平面応力の通常の状態で 1 方向の層または平織物で構成される直交異方性材料。詳細については、『Autodesk Nastran ユーザ マニュアル』、参照 20、21、22 を参照してください。
- [強度比]: 複合材料要素層の結果出力用の破壊インデックスの代わりに提供される、Tsai 強度比の出力をコントロールします。これを[オン]に設定すると、パラメータ[PARAM,STRENGTHRATIO,ON,]を定義することができ、Tsai 強度比が計算されます。強度比は、最適な層パフォーマンスを得るために適用荷重の正確な変更方法を示すため、破壊インデックスよりも有益であるとみなされます。
- [許容接着せん断応力]: この値は、接着材料の層間のせん断応力を定義します。この値は、接着破壊インデックス出力を取得するために必要です。
- [底部繊維の距離]: 既定で合計厚さの半分を表します。この値は左側のボックスをオンにして、その右側にあるボックスに新しい値を入力することで変更できます。
- [GE (減衰係数)]: この値は構造要素の減衰係数を定義し、動的解析で使用する臨界減衰比
の 2 倍です。今後のバージョンでサポートされる予定です。
- [NSM]: 単位面積あたりの非構造質量を定義できます。
([参照温度]): この値は、温度依存材料特性に使用される複合材料層(すべての層)の参照温度を定義します。この機能は今後のバージョンでもサポートされる予定です。
([合計厚さ]): これは積層に指定した厚さの合計を示します。
-
[層の作成方法]:
- 異なる層特性を定義するために多くの便利な方法があります。
- 最初の行で[追加]をクリックし、行の[材料]列をクリックして材料を選択します。その列の残りの部分には、既定値が自動的にロードされます。
- 次に、層 ID [1]を選択します。
- [繰り返し]ボタンの横にあるボックスで[2](既定は 1)を選択し、[繰り返し]ボタンをクリックします。最初の行が 2 回コピーされます。次の図はその結果を示しています。
- 角度を上から下に 45、0、-45 に変更をします。
- ここで、すべての[層]を選択します。次に、[対称]ボタンをクリックします。
- これにより、選択した層のミラー化された行が生成されます。
- 次の図はその結果を示しています。
- 同様に、[反対称]は層角度に反対符号を付けてミラー化された行を生成します。
- 変更するには、複数の層を選択し、フィールドを右クリックします。次に、[編集]を選択します。
- 任意の層の対応するプロパティを変更します。対応するすべてのプロパティが一度に変更されます。
-
[積層ダイアログ ボックスの例]: