과도 이산

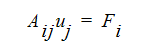
과도 해석에서 과도 항은 암시적 또는 후방 차분 방법을 사용하여 이산됩니다. 행렬 대수 표기법을 사용하여 일반적인 안정 상태 수송 방정식(모멘텀, 에너지, 난류 변수, 스칼라)을 다음과 같이 작성할 수 있습니다.

여기서 Aij에 지배 방정식의 이산 대류항과 확산 항이 포함되며, uj는 종속 변수(u, v, w, T, K,....)의 값이거나 솔루션 벡터입니다. 그리고 Fi에 소스 항이 포함되어 있습니다.

지배 방정식의 과도 항은 다음과 같은 형식을 사용합니다.

여기서 은 종속 변수(u, v, w,....)입니다. 이 항은 후방 차분을 사용하여 이산됩니다.

이 항을 위의 행렬 방정식에 추가할 수 있습니다.

여기서 Bii는 다음과 같이 여러 항으로 구성된 사선 행렬입니다.

모든 새 변수(최근 변수 값)를 결정하려면 이 이산화된 과도 방정식을 각 시간 단계에서 반복적으로 해석해야 합니다.