대표 전단율 도출

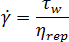
벌크 전단율 또는 대표 전단율은 해석 중 계산되는 수량인 벽 전단 응력 및 유동성에서 파생됩니다.

대표 점도 은 유동성 및 제품 두께 에서 계산됩니다.

그런 다음 벽 전단 응력 및 대표 점도에서 대표 전단율이 계산됩니다.