熔接面映射

将熔接面数据从 Moldflow 模型映射到结构模型的工作流与映射结果主题中描述的内容相同。唯一的附加要求是在输入到 Advanced Material Exchange 过程中,.ws3 文件所在的目录与 .sdy 文件相同。在输入过程中,Advanced Material Exchange 将读取和转换熔接面数据并将该数据存储到 .sif 文件中。因此,仅在输入期间(而不是结构分析期间)需要 .ws3 文件。

最小投影

传输熔接面数据的过程包括以下部分:将强度缩减系数的字段从 Moldflow 结果映射到结构模型中相应的高斯点。默认情况下,使用最小投影方法可以实现此目的。最小投影算法会搜索包含在给定结构单元中的所有熔接面点。如果找到任何点,则该单元中的最低强度折减系数将应用于该单元中的所有高斯点。最小投影方法在你拥有粗糙的结构网格时会很有用。

Shepard 算法

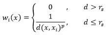
最小投影方法的备选方案是 Shepard 的反向距离权重算法,该算法可以使用 HIN 文件激活(熔接面映射)。Shepard 的算法定义如下所示:

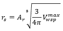
其中 p 是距离权重系数,rs 是搜索半径。距离权重系数的默认值为一,但可以使用 HIN 文件(熔接面映射)进行调整。如果点位于关注区域之外(该点距高斯点的距离非常远时),搜索半径将强制权重 wi(x) 变为零。搜索半径采用以下方程进行确定:

其中 Vwspmax 是熔接面上任何点的最大体积,就像 .ws3 文件中所报告的那样。Ar 表示倍数,可用于扩大或缩小搜索范围。Ar 的默认值为一,但可以在 HIN 文件(熔接面映射)中进行调整。

查看结果

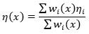
在结果映射到结构模型(“主页” > “映射” > “映射结果”)之后,切换到“熔接面”可视化(“主页” > “查看结果” > “熔接面”)。将在结构模型上生成等值线图,该图显示熔接面上的强度缩减系数。有关强度缩减系数计算和使用方式的更多详细信息,请查看熔接面强度主题。

网格相关性

将熔接面映射到结构模型的精度取决于与 Moldflow 网格相关的结构网格的保真度。请考虑以下结构网格密度不断变化的简单 ASTM 样本模型的示例。

我们可以清楚地看到,随着结构模型的网格不断优化,它开始形成在 Moldflow 模型中显示的熔接面的形状。作为最佳做法,我们建议在与 Moldflow 网格比较时,结构网格密度为 1:1 或者更精细。