连续方程

连续方程用于计算管网中的流动速率。

重要: 在每个节点处求解连续方程,同时求解每个单元处的功能方程和每个节点处的温度方程,以满足管网解决方案的两个原则。

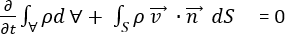
通常,流体密度 可能会随流体温度和压力的变化而变化。对于曲面 S 包围的固定控制体积 ,质量守恒的通常如下所示:

其中, 是该点处的速度, 是指向曲面 S 的外部单元法向矢量, 是时间。

第一项表示控制体积中的质量随时间推移的累积。对于稳态流动,第一项

在曲面点处,该点积 给出了穿过表面的速度的分量。因此,第二项给出流体在整个控制体积表面的净流出。

连续方程

对于管道或风管中流体的稳态可压缩流动,质量守恒被称为连续方程,可由连续方程写为管道或风管的任何横截面面积 A 处流体密度 与平均速率 V 的乘积,或者:

其中, 是经管道或风管流出的质量,Q 表示管道或风管中的体积流动速率。

管网中的每个节点上都需要满足连续方程。

求解每个节点的连续方程

参照冷却液流动计算域,每个内部节点处的连续方程可以代数形式表示为:

适用于 i =1,...节点,j =1....分支单元

其中,= 0 适用于所有内部节点,= 进入或离开给定边界节点的管网的质量通量。对于予以考虑的节点的给定分支, 是指连接运算符 (+) 或 (-)。