連續方程式

連續方程式是用來計算通道網路中的流速。

重要: 連續方程式會在每個節點,同時搭配每個元素的功能方程式,以及每個節點的溫度方程式求解,以滿足兩個網路解原理。

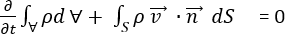
一般而言,流體密度 可能會因流體溫度和壓力的改變而改變。對於固定的控制體積 ,由表面 S 包圍,以下給出質量守恆的一般表示式:

其中 是某點的速度, 是表面 S 向外的單位法線向量, 是時間。

第一項表示控制體積中隨時間變化的累積質量。對於穩定狀態的流,第一項

在表面的某個點,內積 給出速度穿過表面方向的分量。因此,第二項給出流體穿過控制體積整個表面的淨流出。

連續方程式

對於管或管道中穩定狀態可壓縮的流體,質量守恆就稱為連續原理,可以連續方程式表示為流體在管或管道任意剖面面積 A 時,密度 與平均速度 V 的乘積,也就是:

其中 是流經管或管道的質量,Q 表示在管或管道中的體積流速。

網路中的每個節點,都必須滿足連續方程式。

解出每個節點的連續方程式

參考冷卻劑流計算範圍,每個內部節點的連續方程式可以代數方式表示:

,針對 i = 1, ... 節點數,j = 1...分支元素數

其中,所有內部節點的 = 0,= 進入或離開網路 (給定邊界節點) 的質量通量。 是考量中給定節點分支的連接運算子 (+) 或 (-)。