Les sections ajourées sont obtenues à partir des sections laminées à chaud (sections en I laminées à chaud disponibles dans la base de sections) par découpage de l’âme suivant une ligne polygonale ou circulaire. Il existe deux types de section ajourée : à ouvertures hexagonales et à ouvertures circulaires.
Les barres ajourées ne sont dimensionnées que d’après la norme acier polonaise.
Pour la section ajourée, vous pouvez définir :
x = h + c pour les ouvertures hexagonales
x = h + c pour les ouvertures hexagonales avec plaquette intercalaire
x = H pour les ouvertures circulaires (H est la hauteur totale de la section définie par l’utilisateur)
|
Ouvertures hexagonales : c - profondeur de coupe w - distance entre les ouvertures a - espacement des ouvertures |
|
Ouvertures hexagonales avec plaquette intercalaire supplémentaire : c - profondeur de coupe w - distance entre les ouvertures hs - hauteur de la plaquette intercalaire a - espacement des ouvertures |
|
Ouvertures circulaires : d - diamètre des ouvertures w - distance entre les ouvertures H - hauteur de la section |
Propriétés géométriques
Hauteur totale de la section : H = h + c + h s
Aire de la section transversale pour la section pleine
Ap = A + c * tw
Aire de la section transversale pour la section avec ouverture
Ao = A - c * tw
Aire de la section transversale en T de la membrure (section avec évidemment)
A = 0.5 * Ao
Aires des sections transversales efficaces au cisaillement
Ay = 2 * bf * tf – aire de la section transversale des ailes
Az = tw * (h - 2 * tf - c) – aire de la section transversale de l’âme dans la section la plus faible – avec ouverture
Position du centre de gravité de la section
vz = vpz = 0.5 * H
vy = vpy = 0.5 * bf
Moments d’inertie respectivement par rapports aux axes Y et Z de la section composée uniquement d'ailes :


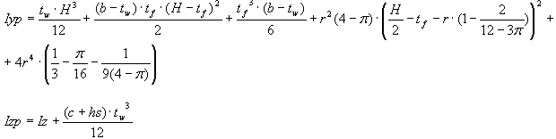
Moyenne arithmétique des moments d’inertie de la section affaiblie et non affaiblie :

Moment d’inertie en torsion
Propriétés géométriques
d - diamètre des ouvertures
w - distance entre les ouvertures
H - nouvelle hauteur de la section (hauteur totale de la section avec plaquette intercalaire)
Aire de la section transversale pour la section pleine
Ap = A + (H - h) * tw
Aire de la section transversale pour la section avec ouverture
Ao = A + (H - h - d) * tw
Aire de la section transversale en T de la membrure (section avec évidemment)
A = 0.5 * Ao
Aires des sections transversales efficaces au cisaillement
Ay = 2 * bf * tf – aire de la section transversale des ailes
Az = tw * (H - 2 * tf - d) – aire de la section transversale de l’âme dans la section la plus faible – avec ouverture
Position du centre de gravité de la section
vz = vpz = 0.5 * H
vy = vpy = 0.5 * bf
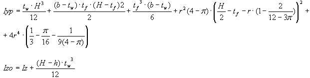
Moments d’inertie respectivement par rapport aux axes Y et Z de la section composée uniquement de membrures
Pour la section pleine

Pour la section avec ouverture

Moyenne arithmétique des moments d’inertie de la section affaiblie et non affaiblie :

Moment d’inertie en torsion
Poids propre
Étant donné que la section ajourée avec ouvertures hexagonales est faite à partir d'une section standard (dont les paramètres sont connus) sans presque aucune perte (excepté les extrémités de la section que l’on peut négliger), son poids est égal au poids de la section initiale.
G = g + Gs
g - Epaisseur de la section initiale
où :
h s *t w - Zone de section transversale d'une plaquette intercalaire
r s - Poids unitaire de l'acier
Par conséquent, le poids propre
Le poids propre d'une section ajourée à ouvertures circulaires doit être calculé comme un poids de la section avec une plaquette intercalaire (hauteur 'H'), de la section transversale pleine, dont est déduit le poids des ouvertures.
Poids de la section initiale (à partir d'une base de données) : g
Epaisseur de la section pleine avec une plaquette intercalaire : g1 = g + rs * (H - h) * tw
Epaisseur de la section ajourée avec ouvertures circulaires
Des sections ajourées sont également disponibles dans la base de données de sections suivante :