Section spéciale - à âme ondulée

Les coupes avec une âme ondulée sont des sections en I avec âmes ondulées à paroi fine. Il s’agit de sections de la famille SIN ou avec des dimensions définies par l’utilisateur.

Les barres à âme ondulée ne sont conçues que d’après la norme d’acier polonaise.

Les paramètres suivants définissent une coupe avec une âme ondulée :

Propriétés géométriques

Hauteur totale de la section : H = h + t f1  + t f2

Aire de la section transversale des ailes

Af = b1 * tf1 + b2 * tf2

Aire de la section transversale de l'âme

Aw = h * tw

Surface totale de la section

A = Af + Aw

Aires des sections transversales efficaces au cisaillement

Ay = b1 * tf1 + b2 * tf2 - aire de la section transversale des ailes

Az = Aw * m/s - aire de la section transversale réduite de l'âme

Propriétés calculées sans prise en compte de l'âme

Moment statique

S = b1 * tf1 * (h + tf2 + tf1 / 2) + b2 * tf2 * tf2 / 2

Position du centre de gravité de la section

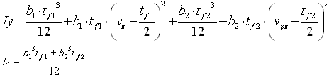
Moments d'inertie respectifs par rapport aux axes Y et Z pour une section composée uniquement d'ailes

Moment d’inertie en torsion

Poids propre

G = Gf + Gw

G f  = r s  * A f  * l

Gw = r s  * Aw * lw = r * Aw * l / m * s

où :

A f - Aires de la section transversale des ailes

A w - Aire de la section transversale de l'âme

r s - Poids unitaire de l'acier

l - Longueur de la barre

Iw - Longueur développée de l'âme plate : lw = l / m * s

m - longueur de la projection de l'onde

s - Longueur de l'onde développée.