連続方程式

連続方程式は、流路ネットワーク内の流量の計算に使用します。

重要: 連続方程式は、各要素での仕事-エネルギー方程式および各ノードでの温度方程式と同時に各ノードで計算され、ネットワーク解析の 2 つの原則を満たします。

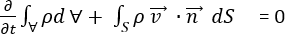
一般に、流体密度 は流体の温度および圧力の変化に応じて変動する場合があります。サーフェス S で囲まれた固定のコントロール ボリューム では、質量保存の一般的な記述は次のように与えられます。

ここで、 は点における速度、 はサーフェス S に対する外向きの単位法線ベクトル、 は時間です。

1 つ目の項は、コントロール ボリュームでの時間経過による質量の累積を表します。定常状態の流れでは、1 つ目の項は次のようになります。

サーフェス点では、内積 によって、サーフェスを横切る速度の成分が与えられます。したがって、2 つ目の項では、コントロール ボリュームのサーフェス全体にわたる流体の正味流出が得られます。

連続方程式

配管またはダクト内における流体の定常状態での圧縮性流動では、質量の保存のことを連続の定理と呼び、連続方程式において、配管またはダクトの任意の断面領域 A における流体の密度 と流体の平均速度 V との積として次のように記述することができます。

ここで、 は配管またはダクトを流れる質量流出で、Q は配管またはダクト内の体積流量を表します。

連続方程式はネットワーク内のすべてのノードで満たされる必要があります。

各ノードにおける連続方程式の計算

冷媒流の計算領域を基に、連続方程式は各内部ノードで次のように代数的に表現できます。

ただし i =1...ノード数、j =1....分岐要素数

ここで、 はすべての内部ノードで 0 となります。 は、与えられた境界ノードでネットワークを流入または流出する質量流束になります。 は、対象となるノードの与えられた分岐に対する接続演算子(+)または(-)です。