すべてのプラスチック成形品に、両側が平坦である標準的な断面があるわけではありません。Midplane 解析テクノロジでは、グリッドやグリルのような複雑な断面を近似化することができます。
直径と形状ファクターがビーム要素に使用されるのと同様に、[肉厚]と[形状ファクター]は Midplane 三角形要素の属性です。表面の断面が一定である場合、厚みは指定され、形状ファクターが 1 となります。しかし、外観および機能上の理由により、プラスチック成形品設計では表面パターンが頻繁に使用されます。
Midplane メッシュは、成形品のエッジは考慮しません。グリッドのような表面パターンの場合、金型と接触する表面領域を表すために、グリッド エッジの追加の表面領域は形状ファクターによって組み込まれます。表面パターンの形状ファクターは、実際の接触表面の比率に対する等価平坦表面の比率として定義されます。
下図は、スラブ状の表面を示したものです。等価肉厚と形状ファクターは、繰り返されるパターンの基礎単位から計算されます。
パターンの基礎単位には、投影面積
、接触表面
(表面、裏面、および側面を含む)、表側表面と裏側表面の間の体積
が含まれます。等価肉厚が同じである場合、形状ファクターが大きいほど、任意の体積での接触表面および壁面からの冷却効果が増大し、形状の不規則性による流動抵抗も高くなります。プログラムは、Midplane 要素に対して個別の形状ファクターに基づいて、これらの 2 つの影響を自動的に調整します。

グリルのあるモデル形状をモデリングするには、グリルの相対寸法とメッシュ サイズに応じて、2 通りの方法があります。下図の成形品 (a) に示すように、グリル部分の長さがメッシュ サイズより長い場合、グリルを適切な等価直径と形状ファクターを持つビーム要素としてモデリングするべきです。下図の成形品 (b) に示すように、グリル サイズがメッシュ サイズより小さい場合、グリッド全域を等価肉厚と形状ファクターを持つ三角形要素としてモデリングする必要があります。

(c) 断面 A-A、(m) メッシュ サイズ、(r) ビーム (ランナー)要素

(c) 断面 A-A、(m) メッシュ サイズ、(u) 基礎単位
穴サイズ(
)が 2 mm で、穴の間の距離(
)が 1.5 mm の成形品肉厚が 3 mm であるとした場合、まず、計算の基礎となるグリルを表現する領域を決定します。上図では、これは領域
で示されます。
投影面積 (A) は
の面積です。
または、
= 12.25 とします。
接触表面(S)は [2 x 投影面積(表側表面と裏側表面)] - [2 x 穴の面積] + [穴の外周 x 穴の深さ(b)]。これは次のように変換されます
.。値を代入すると、結果は
= 37.07 となります。
体積(V)は [投影面積の体積] - [穴の体積]。これは
と等しくなります。 または、
= 27.33 となります。
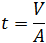
等価肉厚 (t)は
または、27.33/12.25 = 2.23mm。
形状ファクターは [接触表面積(S)] / [2 x 投影面積(A)]、または 1.51
Midplane メッシュ モデルでグリル領域を選択します。右クリックして[プロパティ]を選択します(または、
をクリック)。[断面]ボックスで[その他の形状]を選択します。[寸法の編集]をクリックし、表示される[断面寸法]ダイアログ ボックスで、算出した等価肉厚(2.23)と形状ファクター(1.51)を入力します。