연속 방정식

연속 방정식은 냉각관 네트워크에서 유량을 계산하는 데 사용됩니다.

중요사항: 연속 방정식은 네트워크 솔루션의 두 가지 원리를 충족하기 위해 각 요소의 일-에너지 방정식 및 각 절점의 온도 방정식과 동시에 각 절점에서 해석됩니다.

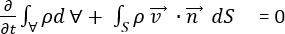
일반적으로 유체 밀도 는 유체 온도 및 압력 변화에 따라 달라질 수 있습니다. 표면 S로 둘러싸인 고정 제어 체적 의 경우 일반적인 질량 보존 방정식은 다음과 같습니다.

여기서 는 한 점의 속도이고, 은 표면 S의 외부 단위 법선 벡터이며, 는 시간입니다.

첫 번째 항은 제어 체적의 시간별 질량 누적을 나타냅니다. 안정 상태 유동의 경우 첫 번째 항은 다음과 같습니다.

표면 점에서 내적 은 표면을 교차하는 속도의 구성요소를 제공합니다. 따라서 두 번째 항은 제어 체적의 전체 표면에서 유체의 순 유출을 제공합니다.

연속 방정식

파이프 또는 덕트 유체의 안정 상태 압축성 유동의 경우에는 질량 보존을 연속성 원리라고 하며, 파이프 또는 덕트의 단면적 A에서 유체 밀도 와 평균 속도 V의 곱 또는 다음과 같이 연속 방정식으로 작성할 수 있습니다.

여기서 은 파이프 또는 덕트를 통과하는 질량 배출이며, Q는 파이프 또는 덕트의 체적 유량을 나타냅니다.

네트워크의 모든 절점에서 연속 방정식을 충족해야 합니다.

각 절점에 대한 연속 방정식 해석

냉각수 유동 계산 도메인을 참조할 경우 각 내부 절점에서 대수 방식으로 연속 방정식을 표현할 수 있습니다.

여기서 i =1...절점 개수, j =1....분기 요소 개수

여기서 은 모든 내부 절점에 대해 0이고, 은 지정된 경계면 절점에 대해 네트워크를 출입하는 질량 플럭스입니다. 는 고려할 절점의 지정된 분기에 대한 연결성 연산자 (+) 또는 (-)를 나타냅니다.