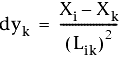
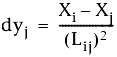
A szögmérési egyenlet következő Taylor-sorral történő közelítéseiben vannak kifejezve mindegyik mérés koordinátáinak változásai:
ahol:
- Lij = az IJ vonal mért hossza
- Lik = az IK vonal mért hossza
- Lik = az IK vonal mért hossza
- Xi, Yi = az I pont legvalószínűbb koordinátái
- Xj, Yj = a J pont legvalószínűbb koordinátái
- Xk, Yk = a K pont legvalószínűbb koordinátái
A következő ábrán a szögmérési egyenlet geometriája látható: