Információk az azimut-/irányszögmérési egyenlet geometriájáról

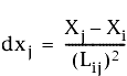
Az azimut/irányszög mérési egyenlet következő Taylor-sorral történő közelítéseiben vannak kifejezve mindegyik mérés koordinátáinak változásai:

és

ahol:

A következő ábrán az azimut-/irányszögmérési egyenlet geometriája látható: