Das Hinzufügen von Verkabelung zu Ihrem Entwurf ist optional. Sie können Stromkreise ohne Verkabelung erstellen. Revit speichert die mit dem Stromkreis verbundenen Informationen.
Dauerhafte Verkabelung kann mithilfe der folgenden Methoden hinzugefügt werden:
Gruppe In Drahtmodell konvertieren verwenden. Nachdem eine dauerhafte Verkabelung erstellt wurde, bleibt diese in der Ansicht sichtbar, wenn der Stromkreis nicht ausgewählt ist.
Gruppe Elektro hinzufügen.
Sie können in den Stromkreiseigenschaften den in einem Stromkreis verwendeten Kabeltyp angeben. Weitere Informationen erhalten Sie unter Stromkreiseigenschaften.
Wandeln Sie einen Stromkreises in eine dauerhafte Verkabelung um.
Auswählen des Kabeltyps für den Stromkreis
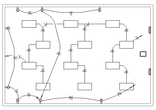
Bogenartige Verkabelung wird häufig zur Darstellung von verdeckten Verkabelungen in Wänden, Decken und Geschossdecken verwendet.
Geschrägte Verkabelung wird häufig zur Darstellung exponierter Verkabelung verwendet.
Im folgenden Beispiel werden die Anschlussbuchsen über eine bogenartige Verkabelung und die Leuchten über geschrägte Verkabelung verbunden. Endstücke werden automatisch hinzugefügt, um die Verbindung zu einer Schalttafel anzuzeigen.
