L'illustration suivante décrit la méthode de rotation A l'intérieur de la courbe pour une route en toit divisée.
Conserver la forme du terre-plein central signifie que lorsque le dévers est appliqué, le terre-plein central s'élève pour s'adapter au dévers. Cette option conserve la forme du terre-plein central et les points de pivotement
s'élèvent ou se baissent.
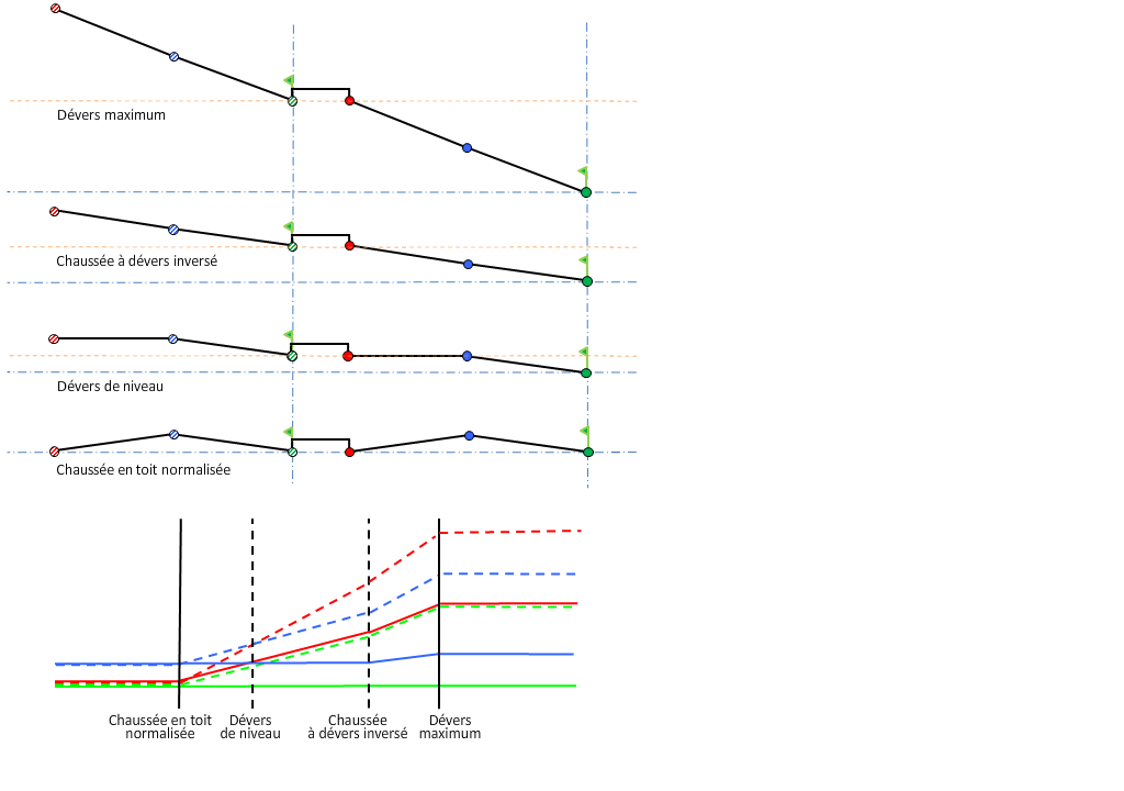
Pour obtenir une explication des diagrammes de dévers, reportez-vous à la rubrique A propos des méthodes de pivot d'axe de rotation du dévers.
