これまで、完全なシミュレーションを実行してもアプリケーションによって必要な結果が得られない場合がありましたか?Autodesk® CFD では、標準的な CFD 結果を超える量を分析し、視覚化するために、独自のカスタム結果量を設定することができます。作成した量を使用して、シミュレーション結果を解析して表示する方法をカスタマイズします。
ダイアログ ボックスを開くには、[設定] > [シミュレーション] > [カスタム結果量]をクリックします。

また、結果を操作しているときにも、ダイアログ ボックスを開くことができます。[結果] > [グローバル] > [カスタム結果量]をクリックします。

[カスタム結果量]ダイアログ ボックスで、数量を追加、編集、削除することができます。さまざまな関数、変数、演算子を使用して、解析に適切な計算式を作成します。
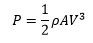
ここでは羽根の半径が 0.75 メートルの風車をモデリングしているとします。風車で使用可能な理論上の風力を追跡する量を設定することにします。理論的には、この風力は次のように表現することができます。

ここで、P は力(W)、ρ は空気の密度(kg/m3)、A は羽根の回転により作られる円の面積(m2)、V は風の速度(m/s)を表します。
次の図に示すように、[カスタム結果量]ダイアログ ボックスに値を入力します。

いくつかのダイアログ ボックスがハイライト表示されます。
計算式の結果は無次元です。[表示単位系]に適切な値を入力し、数量に手動で単位を適用します。
計算式は [Python 構文](https://docs.python.org/2/library/math.html? に準じます。).
関数とスカラー変数をダブルクリックすると、[計算式]フィールドに追加されます。また、値を入力することもできます。
計算式を確認し、修正するためのダイアログ ボックスを開くには、[テスト数式]をクリックします。計算式を修正する場合は、[数式を更新]をクリックして新しい計算式を[カスタム結果量]ダイアログに戻します。

スタディに計算式を保存するには、[保存]をクリックします。
結果で数量を使用できるようにするには、[スタディを更新]をクリックします。たとえば、スタディを更新すると、風力をグローバル結果として選択できます。
