SST k-omega 난류 모형은 여러 항공 역학 분야에서 사용되는 2방정식 Eddy-점도 모형입니다. 이것은 Wilcox k-omega와 K-epsilon 모형을 결합한 하이브리드 모형입니다. 혼합 함수인 F1은 벽 가까이에 있는 Wilcox 모형과 자유 스트림의 k-epsilon 모형을 활성화합니다. 이렇게 하면 근사 모형이 흐름 필드 전체에서 사용될 수 있습니다.
난류 운동 에너지

특정 소실율

F1(혼합 함수)

CDkw

운동학 Eddy 점도

F2(두 번째 혼합 함수)

P K(제작 제한기)

SST 모형의 Smirnov-Mentor 회전/곡률 형식에서 곱하기 항 P에 다음 함수를 곱합니다.

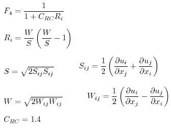
여기에서

나머지 함수는 다음과 같이 정의됩니다.

SST 모형의 Hellsten 단순화 회전/곡률 형식에서 소멸 항에 다음 함수를 곱합니다.

여기서:

고급 터뷸런스 매개변수 대화상자에는 k-omega 모형에 대한 다음과 같은 추가 옵션이 포함되어 있습니다.
지능형 벽 형식화는 벽을 따라가면서 결과의 감도를 메쉬 미세 조정 수준으로 줄입니다. 이 기능은 SST k-omega에 대해 기본적으로 사용 가능으로 설정되어 있습니다.
이러한 항은 난류 강도 및 오메가에 대한 경계 조건 값을 정의합니다.

L은 대략적인 영역 길이입니다.
결과 자유 스트림 난류 점도(이러한 두 값의 결합)는 자유 스트림 층류 점도의 10-5에서 10-2배 사이어야 합니다.